*chto@uchicago.edu

Arxiv: 2509.20458

First Weak Lensing Detection of Spectroscopically Confirmed Dwarf Galaxies

Chun-Hao To*,

Chihway Chang,  Dhayaa Anbajagane, Risa H. Wechsler, Alex Drlica-Wagner,  and DELVE collaboration

First Weak Lensing Detection of Spectroscopically Confirmed Dwarf Galaxies

Chun-Hao To*,

*chto@uchicago.edu

Chihway Chang,  Dhayaa Anbajagane, Risa H. Wechsler, Alex Drlica-Wagner,  and DELVE collaboration

Arxiv: 2509.20458

Dwarf galaxy lensing with Decade

Chun-Hao To*, and others  

*chto@uchicago.edu

What I usually work on

Cosmology

Baryon feedback

Cosmological simulations 

To+ 21ab,22,25ab

To+ 24, Dalal,To+25

To+ 23 https://chunhaoto.com/cardinalsim/

What I will talk today

5 arcmin

 Galaxy-halo connection probes many astrophysics

To+ 2020 (CL)

Lin+04, Wechsler&Tinker+18, Behroozi+18, Kravtsov+18, To+20, Manwadkar+21, Kravstov+22 .... many others

AGN

AGN

AGN

Supernovae

Supernovae

Stellar winds

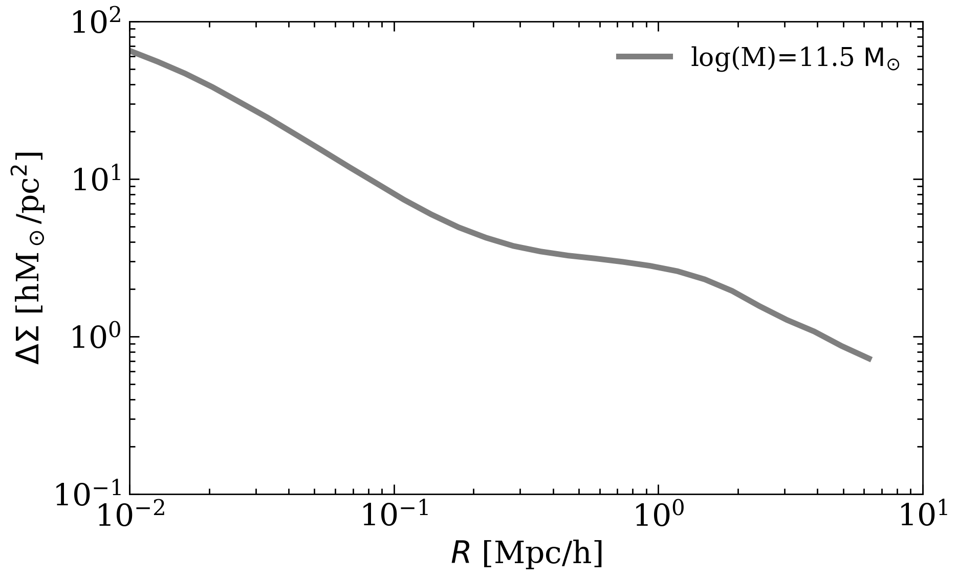
Weak lensing measures the total matter profiles

Weak lensing measures the total matter profiles

Weak lensing measures the total matter profiles

Weak lensing measures the total matter profiles

Weak lensing measures the total matter profiles

Halo Mass

Weak lensing measures the total matter profiles

Satellite fraction

Weak lensing measures the total matter profiles

Satellite fraction

Halo Mass

  • But weak lensing is weak.

    • S/N ~2% for

    • Weaker for low-mass objects. 

\sigma_v \simeq 120~\rm{km}~{\rm{sec}}^{-1}

Needs lots of lens and     source galaxies!

Dwarf galaxy detection are hard 

Mao+24

DECADE + DESI* 

*https://data.desi.lbl.gov/doc/releases/dr1/vac/extragalactic-dwarfs/, Manwadkar, Wechsler+ in prep.

DECADE + DESI* 

*https://data.desi.lbl.gov/doc/releases/dr1/vac/extragalactic-dwarfs/, Manwadkar, Wechsler+ in prep.

DECADE + DESI* 

*https://data.desi.lbl.gov/doc/releases/dr1/vac/extragalactic-dwarfs/, Manwadkar, Wechsler+ in prep.

DECADE + DESI* 

*https://data.desi.lbl.gov/doc/releases/dr1/vac/extragalactic-dwarfs/, Manwadkar, Wechsler+ in prep.

DECADE + DESI* 

*https://data.desi.lbl.gov/doc/releases/dr1/vac/extragalactic-dwarfs/, Manwadkar, Wechsler+ in prep.

DECADE + DESI* 

*https://data.desi.lbl.gov/doc/releases/dr1/vac/extragalactic-dwarfs/, Manwadkar, Wechsler+ in prep.

Lens galaxy selection

To+25

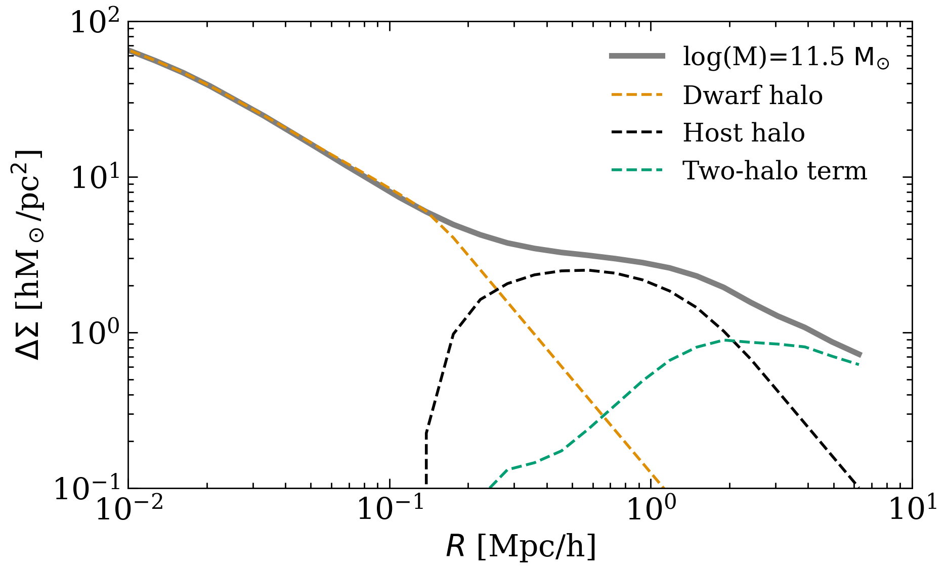
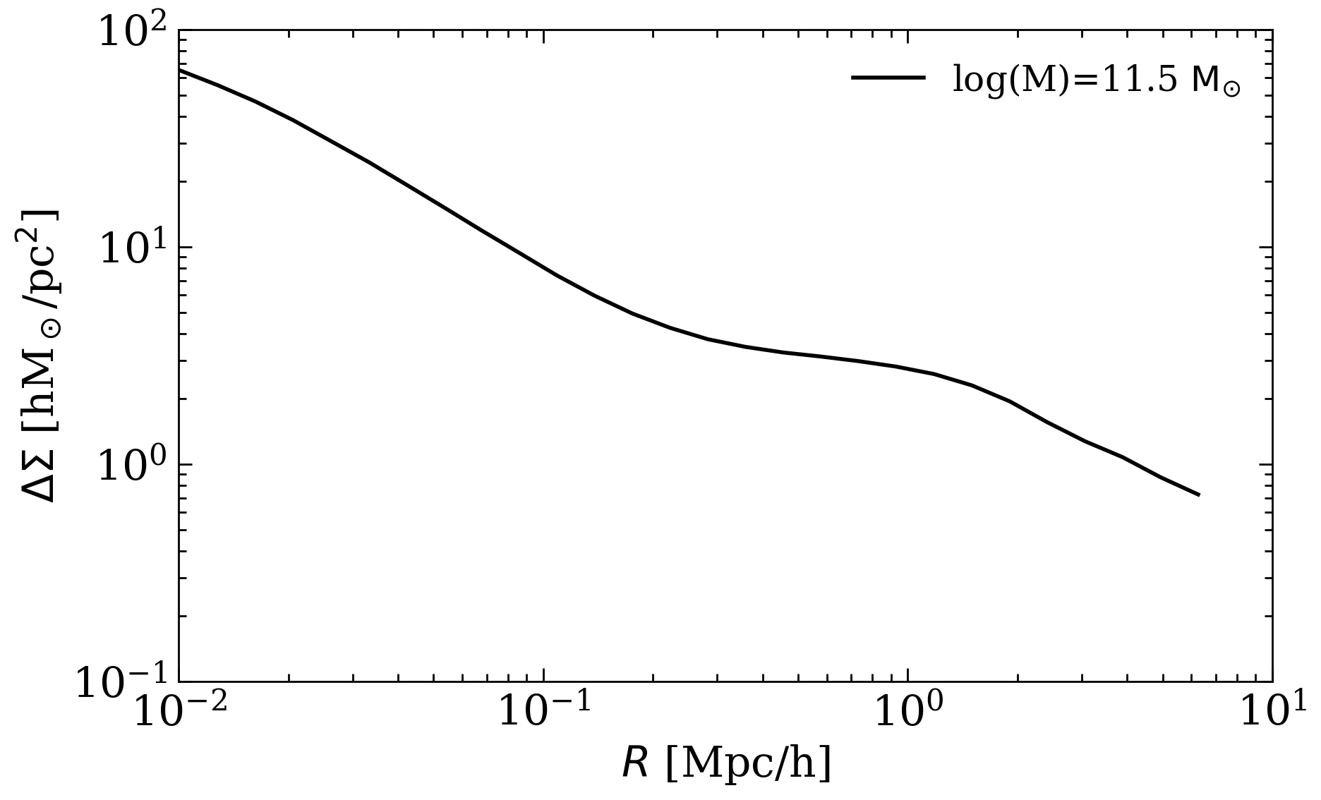
Mass profile around dwarfs

\red{S/N=12.4}
\red{S/N=5.6}

To+25

Mass profile around dwarfs

Systematics?

Measurement systematics

Photometry
Shredding

Blanton+05, Mao+21, many others

Measurement systematics

Stellar mass estimation

de los Reyes+25, Zou+24,...

Photometry
Shredding

Blanton+05, Mao+21, many others

Measurement systematics

Stellar mass estimation

de los Reyes+25, Zou+24,...

Robust to stellar mass estimation

To+25

Photometry Shredding

Fracflux: fraction of flux from other sources

Fiducial analysis: Fracflux<0.2

Robust to photometry shredding

To+25

Fiber incompleteness

3 arcmin
~= 150 kpc @ z=0.04

Fiber incompleteness

Less likely to all get fiber assigned

More likely to all get fiber assigned

240 kpc for

Satellite galaxies

Isolated galaxies

M=10^{11} M_\odot

Fiber incompleteness impacts the measurement 

To+25

Fiber incompleteness impacts the measurement 

To+25

Fiber incompleteness correction

In every observation, DESI logs the total count of potential objects that might have received fibers. 

Individual inverse probability weight (IIP)

= \frac{1}{\rm Number\ of\ potential\ objects}

Bianchi+ 18, Lange+ 24, Ross+ 25, Lasker+ 25

Title Text

Lange+ 24

IIP weights correct the fiber incompleteness issue

To+25

Data shows similar trend to sims 

Inferences: a simulation based model

Inferences: a simulation based model

P(\log M_* | \log M_{\rm peak}) = \\ \mathcal{N}\left(\log \textcolor{teal}{M_{11}}+\textcolor{teal}{\alpha}(\log M_{\rm peak}-11), \textcolor{teal}{\sigma_{\log M}}\right)
\textcolor{teal}{f_{\rm{sat},l}}, \textcolor{teal}{f_{\rm{sat},h}}

control satellite fraction in each stellar mass bin

Inferences: a simulation based model

P(\log M_* | \log M_{\rm peak}) = \\ \mathcal{N}\left(\log \textcolor{teal}{M_{11}}+\textcolor{teal}{\alpha}(\log M_{\rm peak}-11), \textcolor{teal}{\sigma_{\log M}}\right)
\textcolor{teal}{f_{\rm{sat},l}}, \textcolor{teal}{f_{\rm{sat},h}}

control satellite fraction in each stellar mass bin

Inferences: a simulation based model

MCMC

P(\log M_* | \log M_{\rm peak}) = \\ \mathcal{N}\left(\log \textcolor{teal}{M_{11}}+\textcolor{teal}{\alpha}(\log M_{\rm peak}-11), \textcolor{teal}{\sigma_{\log M}}\right)
\textcolor{teal}{f_{\rm{sat},l}}, \textcolor{teal}{f_{\rm{sat},h}}

control satellite fraction in each stellar mass bin

Inferences: a simulation based model

MCMC

P(\log M_* | \log M_{\rm peak}) = \\ \mathcal{N}\left(\log \textcolor{teal}{M_{11}}+\textcolor{teal}{\alpha}(\log M_{\rm peak}-11), \textcolor{teal}{\sigma_{\log M}}\right)
\textcolor{teal}{f_{\rm{sat},l}}, \textcolor{teal}{f_{\rm{sat},h}}

control satellite fraction in each stellar mass bin

20% priors on galaxy number density according to DESI SMF  (Xu+25)

Weak lensing measures the total matter profiles

Satellite fraction

Halo Mass

Weak lensing measures the total matter profiles

Satellite fraction

Halo Mass

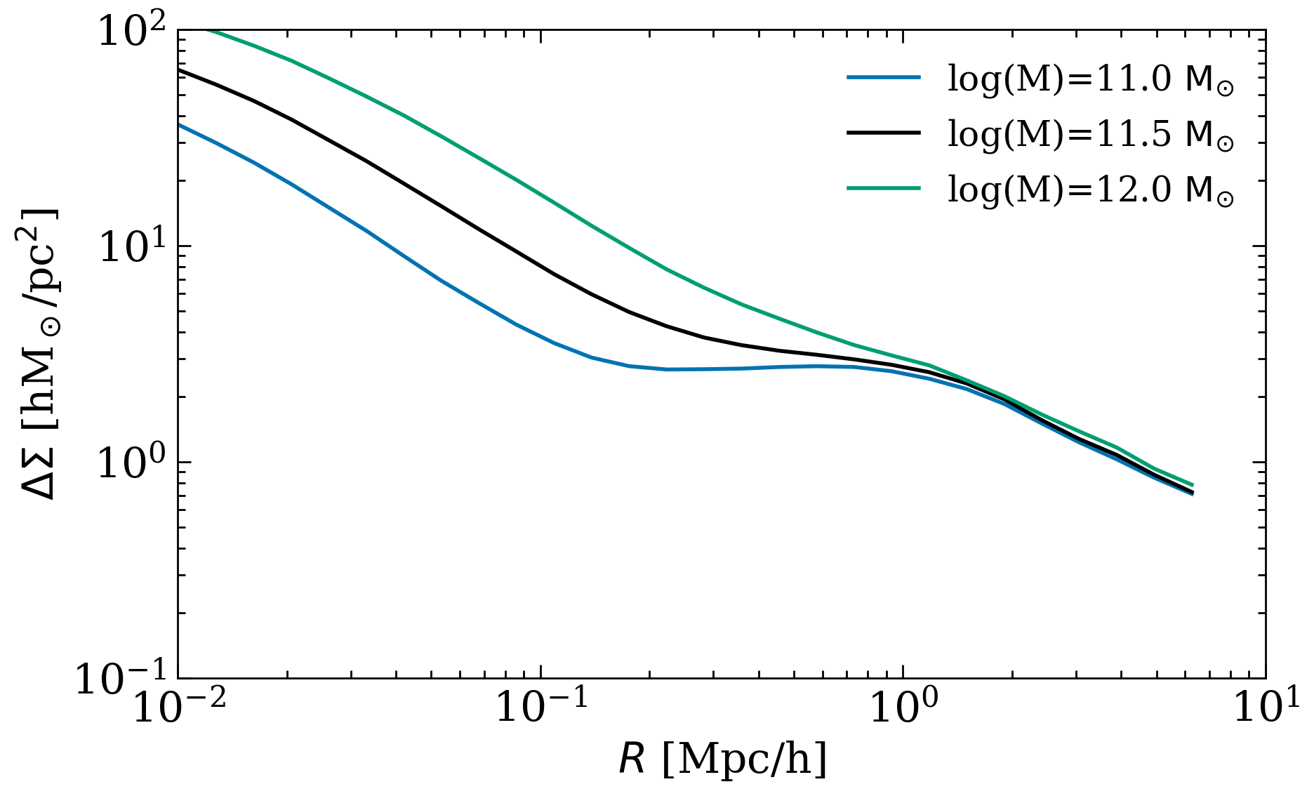
Stellar mass–Halo mass relation

Stellar mass–Halo mass relation

Stellar mass–Halo mass relation

Weak lensing measures the total matter profiles

Satellite fraction

Halo Mass

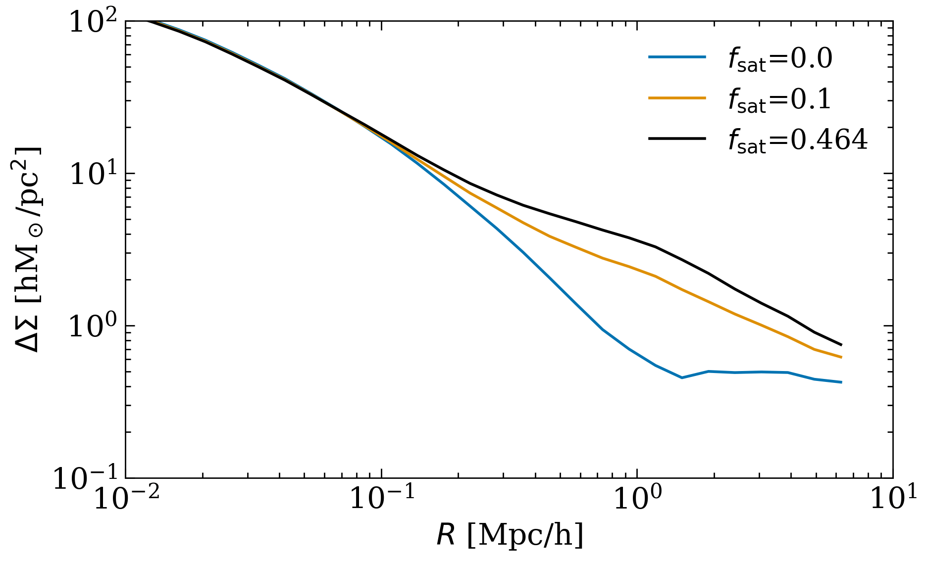
Satellite fraction

Satellite fraction

Satellite fraction

Satellite fraction

Satellite fraction

Satellite fraction

S/N=12.4, 5.6

Arxiv: 2509.20458

dwarf_NW_20250925

By CHUN-HAO TO

dwarf_NW_20250925

  • 222