ORGAANISIA YHDISTEITÄ

KE9: Orgaaninen kemia

  • sisältävät aina hiiltä ja vetyä

Orgaaniset yhdisteet

  • voivat sisältää myös esimerkiksi happea ja typpeä

Hiili yhdisteissä

  • hiilellä on 4 ulkoelektroneita
_6C

C

.

.

.

.

\rightarrow

muodostaa 4 kovalenttista sidosta

yksinkertainen sidos

kaksoissidos

kolmoissidos

atomien välillä yksi elektronipari

atomien välillä kaksi elektroniparia

atomien välillä kolme elektroniparia

Hiilen kovalenttinen sitoutuminen

Sidosten poolisuus

Miksi hiili- ja vetyatomien välillä on vain yksinkertaisia sidoksia?

Miksi hiili- ja happiatomien välillä ei voi olla kolmoissidoksia?

yksinkertainen sidos

kaksoissidos

kolmoissidos

Sidos Elektronegatiivisuus Poolisuus
C-C 2,5-2,5=0,0 pooliton
C-H 2,5-2,1=0,4 heikosti poolinen
C-O 3,5-2,5=1,0 poolinen
C-N 3,0-2,5=0,5 heikosti poolinen
N-H 3,0-2,1=0,9 poolinen
O-H 3,5-2,1=1,4 vahvasti poolinen

Sidosten poolisuudet selittävät yhdisteiden ominaisuuksia!

Tuntitehtävä: Nimeäminen

Mitä logiikkaa nimeämisessä käytetään?

Alkaanit, alkeenit ja alkyynit:

Sykliset hiilivedyt:

Haaroittuneet ketjut:

Hiilivedyt

  • Orgaanisia yhdisteitä, jotka sisältävät vain hiiltä ja vetyä
  • Käytetään energian tuotannossa ja kemianteollisuuden raaka-aineena

Alkaanit

  • hiiliatomien välillä vain yksinkertaisia sidoksia
  • tyydyttyneitä hiilivetyjä

metaani

etaani

propaani

butaani

nonaani

Alkeenit

  • sisältävät vähintään yhden hiiliatomien välisen kaksoissidoksen
  • tyydyttymättömiä hiilivetyjä

eteeni

propeeni

hepteeni

Alkyynit

  • sisältävät vähintään yhden hiiliatomien välisen kolmoissidoksen
  • tyydyttymättömiä hiilivetyjä

etyyni

propyyni

Sykliset hiilivedyt

Sykloalkaanit

  • tyydyttyneitä hiilivetyjä
  • renkaassa vain yksinkertaisia sidoksia

Sykloalkeenit

  • tyydyttymättömiä hiilivetyjä
  • renkaassa vähintään yksi kaksoissidos

Aromaattiset hiilivedyt

  • hiilivety, joka sisältää bentseenirenkaan
  • hiilivety on polyaromaattinen, jos yhdisteessä on kaksi tai useampia bentseenirenkaita liittyneenä toisiinsa

Hiilivetyjen ominaisuuksia

  • C-H -sidos on heikosti poolinen, mutta molekyylin muoto on niin symmetrinen, että sidosten vähäinen poolisuus kumoutuu

poolittomia yhdisteitä

molekyylien välille muodostuu dispersiovoimia

liukenevat vain heikosti veteen

hiilivetyjen sulamis- ja kiehumispisteet kohoavat, kun moolimassa kasvaa

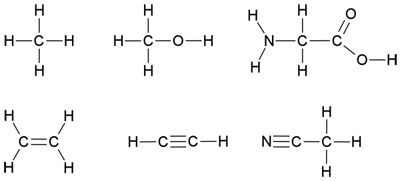
Orgaanisten yhdisteiden funktionaaliset eli toiminnalliset ryhmät

  • hiiliyhdisteitä voidaan luokitella sen mukaan, mitä alkuaineita yhdisteessä on ja miten nämä ovat sitoutuneet toisiinsa

funktionaaliset eli toiminnalliset ryhmät

\rightarrow
  • molekyylit reagoivat funktionaaliseen ryhmänsä kautta
  • eri orgaanisilla yhdisteillä on erilaiset kemialliset ja fysikaaliset ominaisuudet
  • molekyylin toiminnallinen ryhmä näkyy yhdisteen nimessä

ALKOHOLIT

Alkoholit

  • sisältävät poolisen hydroksyyliryhmän -OH
  • yleisimmin alkoholimolekyyleissä hiiliatomien välillä vain yksinkertaisia kovalenttisia sidoksia
    • alkoholit ovat tyydyttyneitä yhdisteitä
  • jos alkoholimolekyylin ketjussa on bentseenirengas, kyseessä on aromaattinen alkoholi
    • jos OH-ryhmä suoraan kiinni bentseenirenkaassa, yhdiste on fenoli, ei alkoholi!

aromaattinen alkoholi

bentsyylialkoholi

fenoli eli karbolihappo

propanoli

2-heksanoli

Alkoholeja

  • metanoli
    • myrkyllinen teollisuuskemikaali
    • liuotin
    • jäätymisenestoaine ja lasinpesunest
    • denaturointiaine
  • etanoli
    • ​antiseptinen
    • liuotin
    • teollisuuskemikaali
    • polttoaine
    • nautintoaine
  • 1,2-etaanidioli eli glykoli
    • jäähdytysneste
  • 1,2,3-propaanitrioli eli glyseroli
    • sitoo kosteutta
    • pehmennin
    • sakeuttamisaine
    • teollisuuskemikaali

Alkoholien luokittelu

  • hydroksyyliryhmien lukumäärän perusteella
    • yksiarvoisissa alkoholeissa yksi OH-ryhmä
    • moniarvoisissa alkoholeissa kaksi tai useampia OH-ryhmiä
  • sen perusteella, kuinka monta hiiliatomia on liittynyt OH-ryhmää sitovaan hiileen
    • primäärinen alkoholi
      • OH-ryhmää sitovaan C-atomiin liittynyt 1 hiiliketju
    • sekundäärinen alkoholi
      • OH-ryhmää sitovaan C-atomiin liittynyt 2 hiiliketjua
    • tertiäärinen alkoholi
      • OH-ryhmää sitovaan C-atomiin liittynyt 3 hiiliketjua

Alkoholien ominaisuuksia

  • OH-ryhmä on vahvasti poolinen
    • hiili- ja vetyatomeilla positiivinen osittaisvaraus
    • happiatomilla negatiivinen osittaisvaraus
  • OH-ryhmä mahdollistaa vetysidosten muodostamisen
    • alkoholien sulamis- ja kiehumispisteet ovat korkeampia kuin samankokoisilla alkaaneilla
      • sulamis- ja kiehumispisteet kasvavat hiiliketjun pidetessä
    • lyhytketjuiset alkoholit liukenevat helposti veteen
      • hiiliketjun pidetessä vesiliukoisuus heikkenee

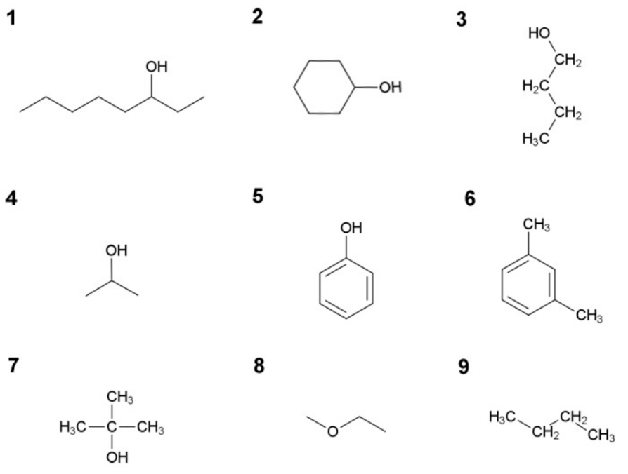
Luokittele kuvassa olevat alkoholit

a) primäärisiin,

b) sekundäärisiin ja

c) tertiäärisiin alkoholeihin

ja nimeä ne.

Tuntitehtävä: Alkoholien luokittelu

KARBONYYLI-YHDISTEET:

ALDEHYDIT JA KETONIT

Aldehydit ja ketonit

  • sisältävät karbonyyliryhmän
  • esiintyy luonnossa runsaita määriä
  • käytetään mausteissa sekä esim. parfyymien ja saippuoiden tuoksuaineina

Aldehydit

  • karbonyyliryhmä hiiliketjun päässä
    • kutsutaan aldehydiryhmäksi
  • metanaali eli formaldehydi
  • etanaali eli asetaldehydi

Ketonit

  • karbonyyliryhmä hiiliketjun keskellä
    • kutsutaan ketoryhmäksi
  • propanoni eli asetoni

Aldehydien ja ketonien ominaisuuksia

  • karbonyyliryhmä on poolinen

molekyyli on poolinen

molekyylien välille dipoli-dipolisidoksia

aldehydien ja ketonien sulamis- ja kiehumispisteet alkaanien ja alkoholien välissä

liukenevat veteen

hiiliketjun pidetessä vesiliukoisuus heikkenee

KARBOKSYYLIHAPOT

Karboksyylihapot

  • sisältävät karboksyyliryhmän

Luokittelu

1) Monokarboksyylihapot

  • metaani- eli muurahaishappo
  • etaani- eli etikkahappo

​2) Dikarboksyylihapot

  • etaanihappo eli oksaalihappo

3) Aromaattiset karboksyylihapot

  • bentseenikarboksyylihappo eli bentsoehappo

4) Rasvahapot

  • ​steariinihappo

5) Hydroksihapot

  • maitohappo

6) Aminohapot

  • alaniini

Karboksyylihappojen ominaisuuksia

  • molekyyli on hyvin poolinen
  • molekyylien välille muodostuu vetysidoksia
  • liukenevat hyvin veteen
  • sulamis- ja kiehumispisteet korkeita
  • mitä useampia karboksyyliryhmiä molekyylillä on, sitä paremmin se liukenee veteen
  • kun hiiliketju pitenee, sulamis- ja kiehumispisteet nousevat ja vesiliukoisuus heikkenee

ESTERIT

  • sisältävät esteriryhmän
  • esiintyvät luonnossa marjojen ja hedelmien aromiaineina
  • käytetään limonadeissa ja karkeissa aromiaineena sekä muovien ja kuitujen valmistuksessa
  • eivät ole vesiliukoisia

ORGAANISET TYPPIYHDISTEET

Amiinit

Luokittelu

  • primääriset amiinit
  • sekundääriset amiinit
  • tertiääriset amiinit

N

:

Ominaisuudet

  • poolisia
  • muodostavat vetysidoksia
  • liukenevat hyvin veteen
  • kiehumispisteet alhaisempia kuin samankokoisilla alkoholeilla

Amidit

Tuntitehtävä: Orgaanisten yhdisteiden ominaisuudet

Vastaa orgaanisten yhdisteiden ominaisuuksilla (ja molekyylien välisten vuorovaikutuksilla) perustellen:
a) Kumman kiehumispiste on korkeampi etaanilla vai pentaanilla?
b) Kumpi liukenee paremmin veteen butanoli vai metanoli?
c) Kumman kiehumispiste on korkeampi oksaalihapon vai etikkahapon?
d) Kumpi tuoksuu helpommin metyylietanaatti vai 1-butanoli?
Vastauksesta pitää löytyä perustelut sekä yhdisteiden rakennekaavat.

KE9: Orgaaniset yhdisteet

By Opetus.tv

KE9: Orgaaniset yhdisteet

  • 1,099