Kemian kertaus

KE07: Kemian kertaus

Kemian ylioppilaskoe ja siihen valmistautuminen

Kemian ylioppilaskokeen rakenne

Osio I (MONIVALINTA)

  • 10 kohtaa, jokaisesta 2 pistettä
  • osan voi päätellä nopeasti kemian perustiedoilla, osassa on laskettava tai pohdittava pidempään

Osio II (15 pisteen tehtävät)

  • tehdään neljä tehtävää seitsemästä
  • tehtävät käsittelevät kemian perusasioita ja jonkin verran niiden soveltamista

Osio III (20 pisteen tehtävät)

  • tehdään kaksi tehtävää kolmesta
  • jokainen tehtävä on 20 pisteen arvoinen
  • työläämpiä ja soveltavampia kuin osan II tehtävät
  • voivat sisältää myös aineistoja, joiden pohjalta on omaksuttava uutta teoriaa
  • Yksi kemian YO-tehtävä käsittelee tyypillisesti aiheita useista kemian osa-alueista eri moduuleista.
  • Osatehtävät ovat usein erilaisia. Sama tehtävä voi esimerkiksi sisältää reaktioyhtälön kirjoittamista, laskun ja selitystä.
  • Keskeisiä käsitteitä ja sisältöjä sovelletaan vastauksessa eikä niinkään kysytä suoraan.
  • Kaikissa tehtävissä on sekä helppoja että vaikeita asioita eri osatehtävissä
  • Suositus:
    • Harjoittele kokeeseen valmistautuessasi erilaisten tehtävien tekemistä.
    • Vastaa joka tapauksessa kaikkiin seitsemään tehtävään, koska kaikissa tehtävissä on helpompia osuuksia, joista voi saada helpommin pisteitä.

Kemian YO-kokeesta

Kokeeseen valmistautuminen

  • Opiskele ahkerasti, mutta muista myös nukkua riittävästi ja rentoutua välillä.
  • Tee realistinen lukusuunnitelma, joka on mahdollista toteuttaa.
  • Tehtävien tekeminen on tärkeämpää kuin pelkkä teorian lukeminen.
    • Tee tehtäviä Mafynetistä:
      • Kun aloitat jotakin aihepiiriä, katso ensin aiheen Tavoitetehtävät. Jos osaat tehdä ne suoraan, riittää todennäköisesti, että vain silmäilet osion "harjoitustehtävät".

      • Voit tehdä tehtäviä myös keskustellen kaverin kanssa, jos se sopii tehtävän luonteeseen.

    • Tee palautettavat tehtävät huijaamatta. Muista, että opiskelet itseäsi varten!

Kokeeseen valmistautuminen

  • Kiinnitä huomiota ohjelmistojen käyttöön ja käyttämiisi merkintöihin. Tee jokainen tehtävä kuin se olisi YO-kokeen tehtävä!

  • Hyödynnä moduulien KE1–KE6 oppikirjoja.

    • Käy läpi käsitelistat oppikirjojen liitteistä.

    • Käy läpi kokeellisia töitä esim. videoiden avulla.

  • Tutustu aiempien vuosien YO-kokeisiin.

  • Käy läpi taulukkokirja, jotta tiedät, mitä tietoa sieltä löytyy.

  • Kertaa ohjelmistojen käyttöä.

  • Kysy tarvittaessa apua!

Hyvän vastauksen rakentaminen

Hyvän vastauksen piirteet

  • Vastauksissa hyödynnetään kemialle tyypillistä esitystapaa sekä kemian käsitteiden ja termien oikeaa ja täsmällistä käyttöä.

  • Reaktioyhtälöt esitetään ilman hapetuslukuja käyttäen pienimpiä mahdollisia kokonaislukukertoimia ja olomuotoja.

  • Orgaanisten yhdisteiden reaktioyhtälöissä käytetään rakennekaavoja, mutta olomuotoja ei vaadita. Jos ne on tehtävässä annettu, kopioidaan ne myös vastaukseen.

    • Rakennekaavojen eri esitystavat hyväksytään.

  • Essee- ja selitystehtävissä vastauksen tulee sisältää kirjoitettua tekstiä, jota täydennetään reaktioyhtälöillä, kaavoilla tai kuvioilla.

  • Ilmiöitä selitetään sanallisesti makroskooppisella, mikroskooppisella ja symbolisella tasolla.

  • Kun vastauksessa edellytetään tehtävään liittyvän aineiston hyödyntämistä, soveltamista tai analysointia, hyvä vastaus on jäsennelty ja sisällöltään johdonmukainen.

Hyvän vastauksen piirteitä

  • Laskennallisissa tehtävissä suureyhtälöjä ja kaavoja käytetään tavalla, joka osoittaa, että vastaaja on ymmärtänyt tehtävänannon oikein ja osaa soveltaa ratkaisussaan asianmukaista periaatetta tai lakia.
    • Vastauksesta tulee ilmetä, kuinka lopputulokseen on päädytty, mutta laajoja välivaiheita ei tarvitse esittää.
    • Lopputulokset annetaan lähtöarvojen mukaisella tarkkuudella yksiköineen ja johtopäätökset perustellaan.
  • Mittaustuloksia ja niistä piirrettyjä kuvaajia hyödynnetään tiedon analysoinnissa ja johtopäätösten tekemisessä.
    • Kuvaajaan merkitään akselien nimet, yksiköt ja asteikko. Kuvaajaan merkitään johtopäätösten kannalta olennaiset kohdat, kuten ekvivalenttikohta titrauskäyrässä tai hetkellistä nopeutta laskettaessa kyseinen tangentti.
    • Mittauspisteisiin sovitetaan asianmukainen suora tai käyrä esimerkiksi jonkin sovitefunktion avulla. Jos mittauspisteet ovat lähellä toisiaan, varsinaista sovitefunktiota ei tarvitse lisätä.
    • Vastauksen tulee olla niin selkeä, että opettajalle ja sensorille on selvää, mitä kokelas tarkoittaa.

Erityyppisissä tehtävissä tarvittavia taitoja

  • Erilaisten materiaalien (videot, kuvat, taulukot, graafiset esitykset jne.) analysointi ja tulkinta
  • Tutkimusten suunnittelu ja opetussuunnitelman mukaisten kokeellisten menetelmien suoritus
  • Tutkimustulosten analysointi, tulkinta ja johtopäätösten tekeminen
  • Kemialle tyypillisten kaavojen ja tekstien (mukaan lukien reaktioyhtälöiden ja kuvaajien) tuottaminen digitaalisilla välineillä

Huolellisuutta, kun...

  • kirjoitat alkuaineiden merkkejä tai yhdisteiden kaavoja.
  • kopioit annettuja lähtötietoja (suuruusluokat, yksiköt, kaavat jne.).
  • kirjoitat reaktioyhtälöitä (kaavat, olomuodot, reaktionuolet, kertoimet).
  • piirrät kaavioita tai graafisia kuvaajia (akselien nimet, yksiköt, asteikko).
  • ilmoitat numeerisen tehtävän vastauksen (pyöristys oikeaan tarkkuuteen ja oikea yksikkö).
  • tunnistat tai nimeät orgaanisten yhdisteiden funktionaalisia ryhmiä tai luokittelet
  • yhdisteitä eri yhdisteryhmiin (yhdisteluokkiin).
  • esität orgaanisten yhdisteiden rakennekaavoja (sidosten suuntautuminen, isomeria).

Laskennalliset tehtävät

  • Lue tehtävä huolellisesti!
  • Listaa tehtävänannosta annettujen suureiden kirjaintunnukset, lisää suureiden lukuarvot annetulla tarkkuudella ja merkitse annettu yksikkö.
    • Ole tarkkana yksikkömuunnosten ja merkitsevien numeroiden kanssa!
    • Esimerkiksi 10 ml = 0,010            ja 100 mg = 0,100 g.
  • Kirjaa näkyviin tarvittavat moolimassat taulukkokirjan suhteellisten atomimassojen tarkkuudella laskettuina. (Älä pyöristä atomimassoja!)
  • Selvitä, mitä pitää ratkaista eli mikä on kysytty suure.
    • Mieti, mitä suureyhtälöä käyttämällä saat ratkaistua kysytyn suureen ja kirjoita suureyhtälö näkyviin käyttäen suureiden kirjaintunnuksia.
  • Sijoita tunnetut lukuarvot ja niiden yksiköt.
    • Suorita laskutoimitus ja merkitse mahdollinen välitulos riittävän tarkasti.
    • Yleensä välitulos, jossa on kaksi merkitsevää numeroa enemmän kuin epätarkimmassa laskussa käytetyssä lähtöarvossa, on riittävän tarkka.
    • Käytä välituloksessa ja vastauksessa desimaalilukujaei murtolukuja.
  • Kirjoita vastaus vielä erikseen ja pyöristä vastaus oikealle merkitsevien numeroiden tarkkuudelle sekä varmista, että myös yksikkö on oikea ja tulos järkevä!
\text{dm}^3

Pistevähennykset

  • Vastaus arvostellaan tehtäväkohtaisten kriteerien mukaisesti.
  • Lähtökohtana ovat vastauksen ansiot, joista kertyy pisteitä.
  • Jos keskeinen kemiallinen periaate puuttuu tai se on virheellinen, pisteiden kertyminen päättyy. (ei-VSE)
  • Muiden puutteiden tai virheiden kohdalla virheellisen tuloksen siirtyminen eteenpäin hyväksytään (VSE), jolloin pisteiden kertyminen jatkuu puutteen tai virheen jälkeen.
  • Kokeen loppupään vaativat tehtävät edellyttävät täsmällisempää periaatteiden hallintaa kuin kokeen alkupään perustehtävät.
  • Kemian kannalta epätäsmällisestä kielenkäytöstä, pienestä laskuvirheestä tai likiarvojen huolimattomasta käytöstä vähennetään 0–3 p.

Aineen rakenne

Puhtaat aineet ja seokset

Olomuodot

Atomi

Jaksollinen järjestelmä

Puhtaat aineet ja seokset

aine

puhdas aine

seos

alkuaine

yhdiste

homogeeninen seos

heterogeeninen seos

kaikki rakenneosat ovat samanlaisia

molekyyli-yhdiste

ioni-yhdiste

koostuu kahdesta tai useammasta reagoineesta alkuaineesta

tasakoosteinen

sekakoosteinen

liuokset

esim.

esim.

kolloidi

suspensio

hiukkaskoko <1 µm, osat eivät erotu toisistaan seisottamalla

erotettavissa vain yksi faasi

erotettavissa vähintään kaksi faasia

kaasu-seokset

lejeeringit eli metalli-seokset

hiukkaskoko >1 µm, osat erottuvat toisistaan seisottamalla

metallit

epämetallit

puolimetallit

Kaasut (g)

Nesteet (l)

Kiinteät aineet (s)

  • tiheys hyvin pieni
  • hiukkaset liikkuvat vapaasti joka suuntaan \(\rightarrow\) kaastu täyttävät astian koko tilavuuden
  • kaasun tilavuus kasvaa, kun
    • paine pienenee
    • lämpötila nousee
  • esim. \(\mathrm{O_2(g), H_2(g), Cl_2(g),}\) jalokaasut, ilma
  • tiheys suurempi kuin kaasujen tiheys
  • hiukkaset liikkuvat vapaasti toistensa lomitse \(\rightarrow\) neste mukautuu astian muotoon
  • nesteitä voidaan puristaa kasaan vain hyvin vähän (hydrauliset laitteet)
  • esim. Hg(l), \(\mathrm{Br_2(l),\ H_2O(l)}\)
  • rakenneyksiköt pakkautuneet yleensä tiiviisti \(\rightarrow\) tiheys yleensä suurempi kuin nesteessä (pl. vesi)
  • hilarakenne
  • kiteisellä aineella säännöllinen hilarakenne ja tarkka sulamispiste
  • amorfisella aineella ei säännöllistä hilarakennetta eikä tarkkaa sulamispistettä
  • esim. metallit (pl. Hg(l)), C(s), ioniyhdisteet, glukoosi, \(\mathrm{I_2(s)}\)

Olomuodon muutokset

sulaminen

höyrystyminen

sublimoituminen

jähmettyminen

tiivistyminen

härmistyminen

kiinteä (s)

neste (l)

kaasu (g)

energiaa sitoutuu

energiaa vapautuu

eksoterminen tapahtuma

endoterminen tapahtuma

Atomi

elektronipilvi

ydin

Atomissa protonien ja elektronien lukumäärä on aina yhtä suuri.

Alkuaine

Saman alkuaineen atomeilla on aina sama määrä protoneja.

Saman alkuaineen atomit, joissa on eri määrät neutroneja, ovat toistensa isotooppeja.

Isotooppi

vedyn isotooppeja

Isotooppimerkintä

  • Alkuaineen järjestysluku Z ilmoittaa atomien protonien lukumäärän
  • Alkuaineen massaluku A kertoo ytimen hiukkasten yhteismäärän
\mathrm{_Z^AX}

isotooppimerkintä

järjestysluku

massaluku

alkuaineen kemiallinen merkki

Hiiliatomi

Hiiliatomi

Typpiatomi

\(\mathrm{p^+}\)

\(\mathrm{e^-}\)

n

6

6

7

6

6

7

12 - 6 = 6

13 - 6 = 7

14 - 7 = 7

Hiiliatomit ovat toistensa isotooppeja.

Tiettyyn isotooppiin viitataan sen massaluvulla.

Kvanttimekaaninen atomimalli

Elektronirakenteen kirjoittaminen

  1. Minimienergiaperiaate: Elektroni asettuu aina atomin energialtaan alimmalle orbitaalille.
  2. Hundin sääntö: orbitaaleille, joilla on sama energia, asettuu aina ensin vain yksi elektroni.
  3. Paulin kieltosääntö: Samalle orbitaalille ei voi asettua enempää kuin kaksi elektronia.

Esimerkki: Kvanttimekaaninen atomimalli

a) X: 12 elektronia

Mg, magnesium

Y: 22 elektronia

Ti, titaani

Z: 16 elektronia

S, rikki

3s

3p

b)

c) Rikillä on uloimmalla kuorellaan 6 elektronia, joten siltä puuttuu oktetista 2 elektronia. Jos rikki ottaa vastaan 2 elektronia, pääsee se oktettiin, joten sen varaukseksi tulee -2.

MUISTISÄÄNNÖT

  • Pääkuoren (pääenergiatason) numero n, n=1,2,3,.....n
  • Orbitaalien lukumäärä kuorella n on \(n^2\)
  • Elektronien maksimimäärä kuorella n on \(2n^2\)

epämetalli

puolimetalli

metalli

Suurin osa alkuaineista on metalleja!

Tätä versiota jaksollisesta järjestelmästä ei lyödy MAOLista. PAINA MIELEEN!

metalliluonne

atomikoko

ionisoitumisenergia

elektronegatiivisuus

metallioksidit

epämetallioksidit

pH < 7

pH > 7

Ominaisuuksien jaksollisuus

Sidokset

Vahvat sidokset

Heikot sidokset

Hilarakenteet

Miksi sidoksia syntyy?

  • Alkuaineet pyrkivät energeettisesti tehokkaaseen rakenteeseen eli oktettiin
    • ​oktetilla tarkoitetaan pääryhmän alkuaineen taipumusta ympäröityä kahdeksalla ulkoelektronilla saavuttaen pysyvän jalokaasurakenteen
  • Alkuaine voi päästä oktettiin
    • luovuttamalla elektroneita
    • ottamalla vastaan elektroneita
    • ottamalla elektroneita yhteiskäyttöön
  • Kun uusia vahvoja sidoksia muodostuu tai katkeaa, tapahtuu kemiallinen reaktio

ionisidos

kovalenttinen sidos

SIDOKSET

VAHVAT SIDOKSET

HEIKOT SIDOKSET

ionisidos

metalli-

sidos

kovalenttinen sidos

vetysidos

dipoli-dipolisidos

dispersio-voimat

ioni-dipolisidos

molekyylien väliset vuorovaikutukset

HEIKOT SIDOKSET

atomien väliset vuorovaikutukset

vain epämetalleja

vain metalleja

usein metalli + epämetalli

poolinen sidos

pooliton sidos

pooliset

poolittomat

N-H

O-H

F-H

Ionisidos

Miten magnesium saavuttaa oktetin?

Mg

12

24,31

pääryhmä: 2

jakso: 3

\(e^-\): 12

2 ulkoelektronia

3 elektronikuorta

1. kuori: \(2\ e^-\)

2. kuori: \(8\ e^-\)

Jokaiselle kuorelle mahtuu \(2n^2\)

\(\mathrm{Mg^{2+}}\)

Mg

2, 8, 2

kuorimalli:

luovuttaa kaksi elektronia uloimmalta kuorelta

12 \(p^+\)

10 \(e^-\)

varaus: \(12\cdot(+1)+10\cdot(-1)\)

\(=+2\)

2, 8

kuorimalli:

Ionin kaava: \(\mathrm{Mg^{2+}}\)

Miten fluori saavuttaa oktetin?

F

9

19,00

pääryhmä: 17

jakso: 2

\(e^-\): 9

7 ulkoelektronia

2 elektronikuorta

1. kuori: \(2\ e^-\)

2. kuori: \(8\ e^-\)

Jokaiselle kuorelle mahtuu \(2n^2\)

\(\mathrm{F^{-}}\)

F

2, 7

kuorimalli:

ottaa vastaan yhden elektronin uloimmalle kuorelle

9 \(p^+\)

10 \(e^-\)

varaus: \(9\cdot(+1)+10\cdot(-1)\)

\(=-1\)

2, 8

kuorimalli:

Ionin kaava: \(\mathrm{F^{-}}\)

Ioniyhdiste eli suola

  • yleensä metallien ja epämetallien muodostamia yhdisteitä
  • kationit ja anionit sitoutuvat toisiinsa ionisidoksilla
  • ionisidos on sähköinen vetovoima erimerkkisten ionien välillä

Millainen ioniyhdiste muodostuu magnesiumista ja fluorista?

\mathrm{Mg^{2+}}
\mathrm{F^-}

magnesium

pääryhmä 2

2 ulkoelektronia

fluori

pääryhmä 17

7 ulkoelektronia

  • varausten summan pitää olla nolla
  • ensin positiivinen ioni, sitten negatiivinen ioni
  • ionivarauksia ei kirjoiteta näkyviin
  • ionien suhteellinen määrä ilmaistaan alaindekseillä

ensin kationin nimi, sitten anionin nimi

magnesiumfluoridi

Ioniyhdisteen kaava

Ioniyhdisteen ominaisuuksia

  • Kiinteässä olomuodossa ioniyhdisteet muodostavat ionihilan

Suoloilla on korkeat sulamispisteet.

Ioniyhdisteet johtavat sähköä vesiliuoksena ja sulatteena, mutta eivät kiinteässä olomuodossa.

Ioniyhdisteet ovat kovia, mutta hauraita.

Ionisidos on vahva ja sen katkaisemiseen tarvitaan paljon energiaa.

Suolaliuoksessa ja -sulatteessa ionit pääsevät liikkumaan vapaasti, mikä tekee niistä sähköä johtavia

Kiinteässä hilassa ei ole vapaita ioneja --> virta ei kulje

Metallisidos

Metallisidos ja metallihila

  • Kiinteässä olomuodossa metallit muodostavat metallihilan.
  • Metallihilaa pitää koossa metallisidos.

metallikationi

\mathrm{Fe \rightarrow Fe^{2+}+2\ e^-}

esim.

ulkoelektronit otetaan yhteiskäyttöön

elektronikaasu

"kationisaaret ja elektronimeri"

delokalisoituneet ulkoelektronit

Metallien ominaisuudet

Metallit ovat yleensä kiinteitä.

Metallit johtavat hyvin lämpöä ja sähköä.

Metallit ovat muokattavia.

Metallit ovat kiiltäviä ja läpinäkymättömiä.

Metallihilaa koossa pitävä metallisidos on vahva ja sen katkaisemiseen tarvitaan paljon energiaa.

Lämpö aiheuttaa lämpövärähtelyä, joka siirtyy tiivistä metallihilaa pitkin.

Metallihilassa on vapaasti liikkuvia elektroneja, jotka toimivat sähkövirran kuljettajina.

Delokalisoituneiden elektronien takia kationien välinen hylkimisvoima ei pääse hajottamaan metallihilaa.

Näkyvä valo osuu metallin pintaan, jolloin delokalisoituneet elektronit virittyvät. Viritystila purkautuu ja vapautuva energia näkyy valona.

Osa valosta imeytyy tiiviiseen metallihilaan. Näkyvän valon aallonpituudet eivät läpäise tiivistä metallikerrosta, joten metalli on läpinäkymätön.

Kovalenttinen sidos

Kovalenttinen sidos

  • Epämetallit eivät luovuta elektroneja kokonaan toisille atomeille, vaan ne ottavat elektronit yhteiskäyttöön

Kovalenttinen sidos

  • Yhdisteitä, jotka muodostuvat kovalenttisin sidoksin, kutsutaan molekyyleiksi
\mathrm{N_2}
\mathrm{H_2}
\mathrm{O_2}

Miten alkuainemolekyylit muodostuvat?

pääryhmä: 1

pääryhmä: 16

pääryhmä: 15

H

H

H

H

O

 1 elektroni

yksi elektronipari

O

2 elektronia

kaksi elektroniparia

O

O

N

N

N

N

yksinkertainen kovalenttinen sidos

3 elektronia

kovalenttinen kaksoissidos

kovalenttinen kolmoissidos

kolme elektroniparia

puuttuu:

yhteiskäyttöön:

muodostuu:

Lewisin rakenne

Elektronegatiivisuus

  • Alkuaineen elektronegatiivisuus kuvaa sitä, kuinka voimakkaasti atomi vetää puoleensa yhteisiä sidoselektroneita

Metallien elektronegatiivisuus-arvot ovat pääsääntöisesti pienempiä kuin epämetallien arvot.

Jalokaasuille ei ole määritetty elektronegatiivisuusarvoa

Pooliton kovalenttinen sidos

Poolinen kovalenttinen sidos

  • alkuaineilla sama elektronegatiivisuusarvo
  • atomit vetävät sidoselektroneja puoleensa yhtä voimakkaasti

vety: 2,1

kloori: 3,0

  • elektronegatiivisempi alkuaine vetää yhteisiä sidoselektroneja voimakkaammin puoleensa

elektronitihentymä

elektronivajaus

elektronegatiivisuusero:

\Delta \chi=3{,}0-2{,}1=0{,}9

A

A

Sidoksen ioniluonne

Taulukon alla!

B

A

B

B

A

D

C

sidoksen ioniluonne kasvaa

\delta^+
\delta^-

+

-

pooliton kovalenttinen sidos

poolinen kovalenttinen sidos

ionisidos

Sidoksen poolisuus

Millainen sidos alkuaineiden välille muodostuu?

C ja C

C ja H

H ja O

K ja Br

\Delta \chi=2{,}5-2{,}5=0

pooliton kovalenttinen sidos

\Delta \chi=2{,}5-2{,}1=0{,}4

heikosti poolinen kovalenttinen sidos

\Delta \chi=3{,}5-2{,}1=1{,}4

poolinen kovalenttinen sidos

\Delta \chi=2{,}8-0{,}8=2{,}0

ionisidos

>1{,}7

Molekyylin poolisuus

Molekyylin muoto vaikuttaa poolisuuteen

  • Vaikka molekyylissä olisi poolisia sidoksia, on molekyyli pooliton, jos osittaisvaraukset kumoutuvat
  • Osittaisvaraukset kumoutuvat, jos elektronegatiivisuusarvoltaan samanlaiset atomit ovat
    • lineaarisen molekyylin vastakkaisissa päissä
    • samassa tasossa 120° kulmassa toisiinsa nähden
    • tetraedrin kulmissa

Muodot, jotka kumoavat poolisuuden, jos sidokset ovat samanlaisia

Molekyyli

POOLINEN MOLEKYYLI

POOLITON MOLEKYYLI

kaikki sidokset poolittomia

molekyylissä vain yksi sidos, joka poolinen

DIPOLI

pysyvät osittaisvaraukset

sisältää poolisia sidoksia, mutta osittaisvaraukset kumoutuvat 
muodon takia

Onko molekyyli poolinen vai pooliton?

  • Miten poolisia sidokset ovat?
  • Kuinka monta poolista sidosta molekyylissä on?
  • Kumoutuvatko osittaisvaraukset?
  • Miten suuri osuus poolisilla sidoksilla on poolittomaan osaan verrattuna?

Heikot sidokset

Atomien ja molekyylien välisten vuorovaikutusten katkeaminen

Atomien väliset vuorovaikutukset

Molekyylien väliset vuorovaikutukset

  • Jos nämä vuorovaikutukset katkeavat, aine muuttuu toiseksi.

kemiallinen reaktio

  • Jos nämä vuorovaikutukset katkeavat, olomuoto muuttuu.
  • aine pysyy samana
\mathrm{2\ H_2O(g)\rightarrow O_2(g)+2\ H_2(g)}

vaatii aina energiaa!

vetysidokset

dipoli-dipolisidokset

dispersiovoimat

vetysidos

nestemäinen vesi

vetysidoksia katkeaa ja muodostuu jatkuvasti

kiinteä vesi

vetysidokset pysyvät paikoillaan

ionisidos

metallisidos

kovalenttinen sidos

vahvuus

Molekyylien väliset vuorovaikutukset

molekyyli on poolinen

DIPOLI-DIPOLISIDOS

  • erimerkkisten osittaisvarausten välille muodostuu vetovoima

VETYSIDOS

  • dipoli-dipolisidoksen erikoistapaus
    • molekyylissä
      N-H, O-H tai F-H
  • vahvin molekyylien välisistä vuorovaikutuksista

molekyyli on pooliton

DISPERSIOVOIMAT

  • hetkellisten dipolien välinen vuorovaikutus

 

 

  • mitä enemmän molekyylissä on elektroneja ja mitä suurempi molekyyli on, sitä suurempia ovat dispersiovoimat
  • esiintyy kaikkien atomien, ionien ja molekyylien välillä

Heikkojen sidosten vaikutus aineen ominaisuuksiin

Pohdi sidosten avulla, miksi

etanolin \(\mathrm{C_2H_5OH}\) kiehumispiste on korkeampi kuin etaanin \(\mathrm{C_2H_6}\).

happi \(\mathrm{O_2}\) on huoneenlämpötilassa kaasu, mutta vesi on neste

\(\mathrm{O_2}\)

  • atomien välillä pooliton kovalenttinen sidos

pooliton molekyyli

molekyylien välillä dispersiovoimia

heikoin

kaasu

\(\mathrm{H_2O}\)

  • atomien välillä poolisia kovalenttisia sidoksia + O-H-sidos

vetysidokset

neste

vahvoja!

pooliton molekyyli

poolinen molekyyli

vetysidokset

dispersiovoimat

Mitä voimakkaampia molekyylien väliset vuorovaikutukset ovat, sitä enemmän energiaa olomuodonmuutokseen kiinteästä nesteeksi tarvitaan (kiehumispiste). Vetysidokset ovat vahvempia kuin dispersiovoimat, joten etanolin kiehumispiste on korkeampi kuin etaanilla.

Ioniyhdisteen vesiliukoisuus

  • ioniyhdisteen liukenemista veteen kutsutaan hydratoitumiseksi
  • akvaioni muodostuu, kun ioni on sitoutunut veteen ioni-dipolisidoksin
  • ioni-dipolisidos on heikko sidos, joka on kuitenkin vahvempi kuin molekyylien väliset sidokset

Hilarakenteet

Ionihila

Hilatyyppi

Rakenneosat

Kovalenttinen hila

Metallihila

Poolinen molekyylihila

Pooliton molekyylihila

kationit ja anionit

atomit tai poolittomat molekyylit

metalli-kationit ja vapaat elektronit

pooliset molekyylit

poolittomat molekyylit

Hilaa koossapitävät sidokset

ionisidos

kovalenttiset sidokset

metallisidos

vetysidokset tai dipoli-dipolisidokset

dispersiovoimat

vahva sidos

vahva sidos

vahva sidos

heikko sidos

heikko sidos

Alkuaineatomien välillä

ionisidos

vahva sidos

kovalenttiset sidokset

vahva sidos

metallisidos

vahva sidos

poolinen kovalenttinen sidos

pooliton tai poolinen kovalenttinen sidos

vahva sidos

vahva sidos

Tarkastellaan seuraavia aineita: timantti(s), \(\mathrm{K_2SO_4(aq),\ NH_3(g),\ NaCl(s),\ PH_3(s)}\).
a) Onko aineella hilarakenne ja jos on, niin millainen se on? Mitä sidoksia aineessa on? (13 p.)
b) Katso video liekkikokeista. Mitkä yllä olevista aineista voidaan tunnistaa oheisen liekkikokeen perusteella? Minkä värinen liekki on? (2 p.)
Katso video "Liekkikokeet"

Esimerkki

\(\mathrm{K_2SO_4(aq)}\)

ei hilarakennetta

Hilarakenne

Sidokset

ioni-dipolisidokset ionien ja veden välillä

vetysidokset vesimolekyylien välillä

timantti(s)

kovalenttinen hila

poolittomat kovalenttiset sidokset hiiliatomien välillä

\(\mathrm{NH_3(g)}\)

ei hilarakennetta

pooliset kovalenttiset sidokset vety- ja typpiatomien välillä

kaasussa vain vähän hetkellisiä vetysidoksia

NaCl(s)

ionihila

ionisidokset natrium- ja kloridi-ionien välillä

\(\mathrm{PH_3(s)}\)

pooliton molekyylihila

poolittomat kovalenttiset sidokset fosfori- ja vetyatomien välillä

dispersiovoimat molekyylien välillä

Kovalenttinen hila

  • säännöllisesti järjestynyt rakenne, jossa atomit liittyvät toisiinsa kovalenttisin sidoksin
  • voi koostua yhdestä tai useammasta alkuaineesta

Molekyylihila

Poolinen molekyylihila

  • pooliset molekyyliyhdisteet muodostavat poolisen molekyylihilan
  • pysyy kasassa dipoli-dipolisidosten tai vetysidosten avulla

Pooliton molekyylihila

  • poolittomat molekyyliyhdisteet muodostavat poolittoman molekyylihilan
  • pysyy kasassa dispersiovoimien avulla
  • kiinteässä olomuodossa olevissa molekyyleissä esiintyvä säännöllinen rakenne

Reaktioyhtälöt

Reaktioyhtälöt

  • Reaktioyhtälön kertoimiksi pienimmät mahdolliset kokonaisluvut.
  • Reaktioyhtälöön kirjoitetaan näkyviin aineiden olomuotojen tunnukset.
  • Ilmassa esiintyvät alkuaineet ja yhdisteet ovat kaasuja, joten niiden olomuodoksi merkitään (g).
  • Suolat eli kaikki ioniyhdisteet ovat huoneen lämpötilassa kiinteitä aineita (s).
  • Metallit elohopeaa lukuun ottamatta ovat huoneenlämpötilassa kiinteitä (s).
  • Reaktioyhtälössä esiintyvä vesi on olomuototunnukseltaan (l). Poikkeuksen muodostaa palamisreaktiossa muodostuva vesihöyry 
  • Liuosten olomuototunnuksena käytetään merkintää (aq), kun liuottimena on vesi.
  • Kiinteät ja nestemäiset alkuaineet kirjoitetaan reaktioyhtälöön yksiatomisina kuten Cu, Fe, Ni, Hg. Poikkeuksena kiinteä jodi ja nestemäinen bromi kirjoitetaan kaksiatomisina 
  • Kaasumaiset alkuaineet kirjoitetaan kaksiatomisina. Poikkeuksena kaikki jalokaasut kirjoitetaan yksiatomisina.
\mathrm{H_2O(g)}

Reaktioyhtälöt

Tehtävätyyppejä

  • Suhde-, molekyyli- ja rakennekaava (tulee orgaanisen kemian yhteydessä)
  • Rajoittava tekijä (lähtöaine loppuu kesken)
  • Reaktion saanto
  • Kaasulaskut
  • Seoslaskut (rinnakkaiset reaktiot)
  • Reaktiosarja

Hapetuslukuja

Erilaisia reaktioita

Orgaaniset yhdisteet

  • Esitä kysyttyjen yhdisteiden rakenteet niin, ettei jää epäselväksi, mikä on esittämäsi vastaus
    • Älä jätä ylimääräisiä rakenteita vastaukseesi!
    • Jos vastauksessa on sekä oikea rakenne että joku muu rakenne ilman selkeästi esitettyä vastausta, tulkitaan, että vastaus on sekä oikein että väärin, ja se menee nollille
  • Tarkista yhdisteestä, että
    • funktionaalisen ryhmän rakenne on oikein
    • vastauksen rakenteessa ei ole ylimääräisiä tai puuttuvia hiiliatomeja
    • atomeista lähtee oikea määrä sidoksia
    • varaukset ovat oikein ja oikeissa kohdissa
    • vastauksen rakenne vastaa tehtävänantoa
  • Jos rakennekaavat ovat osana reaktioyhtälöä, muista tasapainottaa reaktioyhtälö.

Rakennekaavat

Esimerkki

Piirrä 2-hydroksibentoehappo.

Jos tehtävänannossa on viivakaava, mieluiten vastaukseksi viivakaava.

puuttuvat vedyt

vedyt näkyvissä, hiilet ei

väärä funktionaalinen ryhmä

väärä paikka

EI NÄIN!

VAAN NÄIN!

Tyypillisiä virheitä

  • Funktionaalinen ryhmä ja yhdisteryhmä menevät sekaisin
    • esimerkiksi amiinissa oleva funktionaalinen ryhmä on aminoryhmä, ei "amiiniryhmä"
  • Rakennekaavoihin on merkitty hiiliatomit näkyviin C-kirjaimille, mutta vetyatomit puuttuvat
  • Orgaanisen reaktioyhtälön tasapainotus puuttuu
  • Orgaanisessa suolassa ionien väliin on merkitty kovalenttinen sidosviiva
    • ionien välistä sidosta ei kirjoiteta, vaan ionit kirjoitetaan vierekkäin ilman ionivarauksia tai ionivarausten kanssa

Orgaaninen suola

Hiilivetyjen luokittelu

rakenteessa bentseenirengas?

kyllä

aromaattinen yhdiste

ei

alifaattinen yhdiste

rakenteessa kaksois- tai kolmoissidos?

kyllä

ei

tyydyttymätön yhdiste

tyydyttynyt yhdiste

alkaani

alkeeni

alkyyni

syklinen yhdiste

voi olla

Orgaaniset yhdisteryhmät

Orgaaniset happiyhdisteet

Orgaaniset typpiyhdisteet

Esimerkki

aminoryhmä

karboksyyliryhmä

amidiryhmä

esteriryhmä

Mihin yhdisteryhmiin yhdiste voidaan luokitella?

esterit, amidit, amiinit, karboksyylihapot

Bentseenirengasta ei tarvitse mainita!

Hiilivetyjen ominaisuudet

C - C

C - H

(C = C, C ≡ C)

elektronegatiivisuusero

2,5-2,1=0,4

elektronegatiivisuusero

2,5-2,5=0

pooliton sidos

heikosti poolinen sidos

Molekyylin poolisuus:

  • 4 poolitonta C-C -sidosta
  • 12 heikosti poolista C-H -sidosta
  • sidokset suuntautuneet tetraedrin muotoon

\(\rightarrow\) molekyyli pooliton

\(\rightarrow\) molekyylien välillä dispersiovoimia

Hiilivetyjen ominaisuuksia

  • C-H -sidos on heikosti poolinen, mutta molekyylin muoto on niin symmetrinen, että sidosten vähäinen poolisuus kumoutuu

poolittomia yhdisteitä

molekyylien välille muodostuu dispersiovoimia

liukenevat vain heikosti veteen

hiilivetyjen sulamis- ja kiehumispisteet kohoavat, kun moolimassa kasvaa

Opettele yhdisteryhmien ominaisuuksia kokonaisuutena, niin ei tarvitse päätellä yksittäisten sidosten poolisuutta!

Alkoholit

  • sisältävät poolisen hydroksiryhmän -OH
  • yleisimmin alkoholimolekyyleissä hiiliatomien välillä vain yksinkertaisia kovalenttisia sidoksia
    • alkoholit ovat tyydyttyneitä yhdisteitä
  • jos alkoholimolekyylin ketjussa on bentseenirengas, kyseessä on aromaattinen alkoholi
    • jos OH-ryhmä suoraan kiinni bentseenirenkaassa, yhdiste on fenoli, ei alkoholi!

aromaattinen alkoholi

bentsyylialkoholi

fenoli eli karbolihappo

propanoli

2-heksanoli

Alkoholien luokittelu

  • hydroksiryhmien lukumäärän perusteella
    • yksiarvoisissa alkoholeissa yksi OH-ryhmä
    • moniarvoisissa alkoholeissa kaksi tai useampia OH-ryhmiä
  • sen perusteella, kuinka monta hiiliatomia on liittynyt OH-ryhmää sitovaan hiileen
    • primäärinen alkoholi
      • OH-ryhmää sitovaan C-atomiin liittynyt 1 hiiliketju
    • sekundäärinen alkoholi
      • OH-ryhmää sitovaan C-atomiin liittynyt 2 hiiliketjua
    • tertiäärinen alkoholi
      • OH-ryhmää sitovaan C-atomiin liittynyt 3 hiiliketjua

Alkoholien ominaisuuksia

  • OH-ryhmä on vahvasti poolinen
    • hiili- ja vetyatomeilla positiivinen osittaisvaraus
    • happiatomilla negatiivinen osittaisvaraus
  • OH-ryhmä mahdollistaa vetysidosten muodostamisen
    • alkoholien sulamis- ja kiehumispisteet ovat korkeampia kuin samankokoisilla alkaaneilla
      • sulamis- ja kiehumispisteet kasvavat hiiliketjun pidetessä
    • lyhytketjuiset alkoholit liukenevat helposti veteen
      • hiiliketjun pidetessä vesiliukoisuus heikkenee

Karbonyyliyhdisteet

Aldehydit

  • karbonyyliryhmä hiiliketjun päässä
  • metanaali eli formaldehydi
  • etanaali eli asetaldehydi

Ketonit

  • karbonyyliryhmä hiiliketjun keskellä
  • propanoni eli asetoni
  • molekyylien välille dipoli-dipolisidoksia
  • pienet molekyylit vesiliukoisia
  • vesiliukoisuus heikkenee hiiliketjun pidetessä

Ominaisuudet

aldehydiryhmä

ketoryhmä

Karboksyylihapot

  • sisältävät karboksyyliryhmän
  • etaanihappo
  • oksaalihappo

Ominaisuudet

  • molekyyli on hyvin poolinen
  • molekyylien välille muodostuu vetysidoksia ja dipoli-dipolisidoksia
  • liukenevat hyvin veteen
  • sulamis- ja kiehumispisteet korkeita
  • mitä useampia karboksyyliryhmiä molekyylillä on, sitä paremmin se liukenee veteen
  • kun hiiliketju pitenee, sulamis- ja kiehumispisteet nousevat ja vesiliukoisuus heikkenee

ESTERIT

  • sisältävät esteriryhmän
  • esiintyvät luonnossa marjojen ja hedelmien aromiaineina
  • käytetään limonadeissa ja karkeissa aromiaineena sekä muovien ja kuitujen valmistuksessa
  • eivät ole vesiliukoisia

Amiinit

Luokittelu

  • primääriset amiinit
  • sekundääriset amiinit
  • tertiääriset amiinit

N

:

Ominaisuudet

  • poolisia
  • muodostavat vetysidoksia
  • liukenevat hyvin veteen
  • kiehumispisteet alhaisempia kuin samankokoisilla alkoholeilla

Amidit

Aminohapot

Heterosykliset yhdisteet

  • rengasrakenteinen yhdiste, jossa on renkaassa hiilen tilalta jokin muu alkuaine (esim. typpi, happi tai rikki)
  • kaksi funktionaalista ryhmää: aminoryhmä ja karboksyyliryhmä
  • proteiinit rakentuvat aminohapoista

Isomeria

Isomeria

Isomeerit = yhdisteitä, joilla on sama molekyylikaava, mutta eri rakennekaava

Rakenneisomeria (konstituutioisomeria)

  • atomien sitoutumisjärjestys on erilainen

Stereoisomeria (avaruusisomeria)

  • sama rakenne, mutta atomit tai atomiryhmät suuntautuvat avaruudessa eri tavoin
  1. Konformaatioisomeria
  2. Cis-trans-isomeria
  3. enantiomeria eli peilikuvaisomeria
  1. Ketju- eli runkoisomeria
  2. Paikkaisomeria
  3. Funktioisomeria

Rakenne- eli konstituutioisomeria

1) Runkoisomeria (ketjuisomeria)

  • hiiliketju on haarautunut eri tavoin
  • vaikuttaa hiiliyhdisteiden sulamis- ja kiehumispisteisiin
    • suoraketjuisten hiilivetyjen sulamis- ja kiehumispisteet ovat korkeammat kuin yhtä monta hiiltä sisältävillä haarautuneilla hiilivedyillä
      • dispersiovoimat vaikuttavat suoraketjuisilla molekyyleillä isommalle alalle kuin haaratuneilla molekyyleillä

kiehumispiste 36 °C

kiehumispiste 28 °C

kiehumispiste 10 °C

Rakenne- eli konstituutioisomeria

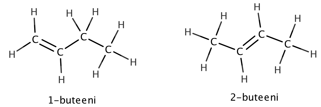
2) Paikkaisomeria

  • funktionaalisen ryhmän paikka vaihtelee

Rakenne- eli konstituutioisomeria

3) Funktioisomeria

  • molekyyleissä eri funktionaaliset ryhmät
  • ominaisuudet poikkeavat merkittävästi!

Avaruus- eli stereoisomeria

1) Cis-trans-isomeria

  • esiintyy yhdisteillä, joissa on kaksoissidos tai rengasrakenne
  • kaksoissidos on "jäykkä", joten atomit / atomiryhmät eivät pääse kiertymään sen ympäri
  • cis-muoto
    • ​atomiryhmät samalla puolella kaksoissidosta tai rengasta
  • trans-muoto
    • ​atomiryhmät eri puolilla kaksoissidosta tai rengasta

E/Z-Isomeria

  • kaksoissidokseen on liittynyt kolme tai neljä erilaista atomia tai atomiryhmää
  • E/Z-muotojen nimeäminen tapahtuu atomimassojen perusteella
    • (E)-isomeereissä kevyemmät kaksoissidoksen hiiliatomeihin liittyneet atomit ovat eri puolilla kaksoissidosta
    • (Z)-isomeereissä samalla puolella

trans

cis

Vasen puoli:

\(\mathrm{M(CH_3)}=15{,}034\text{ g/mol}\)

\(\mathrm{M(CH_2CH_3)}=29{,}06\text{ g/mol}\)

Oikea puoli:

\(\mathrm{M(F)}=19{,}004\text{ g/mol}\)

\(\mathrm{M(Cl)}=35{,}45\text{ g/mol}\)

(Z)-1-fluori-1-kloori-2-metyylibut-1-eeni

Avaruus- eli stereoisomeria

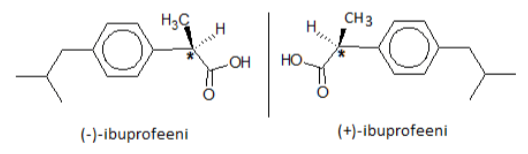
2) Enantiomeria eli peilikuvaisomeria

  • esiintyy yhdisteillä, joilla on asymmetrinen hiiliatomi eli kiraliakeskus
    • kiraliakeskus = hiiliatomi, johon on liittynyt 4 erilaista ryhmää
    • merkitään tähdellä *
  • optiset isomeerit ovat toistensa peilikuvia
  • raseeminen seos = seos, joka sisältää jonkin yhdisteen molempia optisia isomeerejä yhtä paljon

Avaruus- eli stereoisomeria

3) Konformaatioisomeria

  • hiiliketjuun liittyneet ryhmät pääsevät kiertymään yksinkertaisen sidoksen ympäri
    • ​molekyylien asento on erilainen

Mitä stereoisomerian lajeja molekyylillä on?

Yhdiste A

Yhdiste B

Yhdiste C

cis-transisomeria

etyyli- ja metyyliryhmät eri puolilla kaksoissidosta

kaksoissidos

trans-isomeeri

rengas

ei kiralisia hiiliä

yhdisteellä voi esiintyä cis-trans-isomeriaa, mutta molekyylistä ei voi nähdä, kumpi isomeeri on kyseessä

ei cis-trans-isomeriaa

enantiomeria

enantiomeria

kaikilla yksinkertaisia sidoksia \(\rightarrow\) kaikilla konformaatioisomeriaa

Isomeria MarvinSketchilla

Nimeäminen

Ionin nimen ja varauksen voi tarkistaa MAOLista

Molekyyliyhdisteen kaava ja nimi

  • alkuaineet merkitään yleensä elektronegatiivisuusjärjestyksessä pienimmästä suurimpaan
  • nimen alkuosa tulee ensimmäiseksi merkitystä alkuaineesta, loppuosalle -idi-pääte
  • atomien lukumäärä ilmaistaan etuliitteillä
  • etuliitteitä ei tarvita, jos aineiden välisiä yhdisteitä on olemassa vain yksi

typpimonoksidi

dityppioksidi

typpidioksidi

dityppipentoksidi

CO
\(\mathrm{H_2S}\)
\(\mathrm{P_4O_{10}}\)
\(\mathrm{H_2O}\)

NO

\mathrm{N_2O}
\mathrm{NO_2}
\mathrm{N_2O_5}

hiilimonoksidi

divetysulfidi

tetrafosforidekaoksidi

divetyoksidi

Orgaanisten yhdisteiden nimeäminen

1

2

3

4

5

6

7

Kuinka monta hiiltä pisimmässä hiiliketjussa?

\(\rightarrow\) hept-

Onko yhdisteessä funktionaalista ryhmää?

\(\rightarrow\) alkoholi

\(\rightarrow\) -oli-pääte

Onko sivuketjuja?

heptan-

2-oli

Missä hiilessä?

Missä hiilessä?

1 hiili

\(\rightarrow\) metyyli-

2 hiili

\(\rightarrow\) etyyli-

Kirjoitetaan aakkosjärjestyksessä!

5-etyyli-

4,6-dimetyyli

2 kappaletta

\(\rightarrow\) di

Sähkökemia

Hapettuminen ja pelkistyminen

  • Hapettuminen on elektronien luovuttamista
    • hapetusluku kasvaa
  • Pelkistyminen on elektronien luovuttamista
    • hapetusluku pienenee
  • Hapetus-pelkistysreaktiossa yksi alkuaine hapettuu ja toinen pelkistyy
    • yhden alkuaineen hapetusluku pienenee, yhden alkuaineen hapetusluku kasvaa

Tyypillisiä virheitä

  • veden hapettumis- ja pelkistymisreaktiot luetaan taulukkokirjassa väärältä riviltä tai väärään suuntaan
    • veden reaktiot löytyvät kahdelta eri riviltä eli hapettumiseen ja pelkistymiseen valitaan eri rivien reaktioyhtälöt
\mathrm{2\ H_2O(l)\rightarrow O_2(g)+4\ H^+(aq)+4\ e^-, E^\circ=-1{,}23\ V}

Hapettuminen

Pelkistyminen

  • elektronit tuotteissa
  • elektronit lähtöaineissa
\mathrm{2\ H_2O(l)+2\ e^-\rightarrow 2\ OH^-(aq)+H_2(g), E^\circ=-0{,}83\ V}

Tyypillisiä virheitä

  • taulukkokirjasta luetaan hapettumis- pelkistymisreaktio väärään suuntaan
    • jos kuparia on lähtötilanteessa kiinteänä eli metallisena, sitä ei ole ionimuodossa (liuoksena), eikä tällöin kuparin pelkistymisreaktio ole mahdollinen
  • anodi ja katodi tai positiivinen ja negatiivinen elektrodi merkitään väärinpäin
    • anodi on kemiallisessa parissa negatiivinen elektrodi ja elektrolyysissa positiivinen elektrodi

Tyypillisiä virheitä

  • varauksenkuljettajat sekoitetaan

"elektronit kulkevat suolasiltaa pitkin"

"elektronit liikkuvat elektrolyyttiliuoksessa"

"ionit liikkuvat johtimissa"

Todellisuudessa suolasillassa siirtyy ioneja molempiin liuoksiin tasaamaan niihin muodostuvaa varausepätasapainoa

  • suolasulatteelle käytetään virheellistä olomuotomerkintää
    • taulukkokirjassa puolireaktioissa olomuotomerkintä aq, kun suolasulatteessa l.

a) Kaliumia voidaan valmistaa kaliumfluorisulatteen elektrolyysillä. Kuinka monta kilogrammaa kaliumia voidaan tuottaa 24 tunnissa 100,0 ampeerin sähkövirralla?

Esimerkki

Ratkaisu:

Väärä olomuoto, ei kannata liittää ratkaisuun reaktioyhtälöä suoraan Standardipotentiaaleja -taulukosta!

\mathrm{K^+(l)+e^-\rightarrow K(s)}
Q=It=nzF
t=24\ \mathrm{h=24\cdot60\cdot 60\ s=86\ 400\ s}
I=100,0\ A
m(K)=?
\rightarrow n(K)=?
z=1
F = 96\ 485 \dfrac{\text{A}\cdot \text{s}}{\text{mol}}

voi päätellä ajan yksikön!

n=\frac{It}{zF}
n=89{,}547...

sijoitetaan arvot suureyhtälöön

M\mathrm{(K)=39,10\ g/mol}
m=nM=3501{,}311\ g=3{,}5\ kg

b) Sähkökemiallisen parin kennokaavio on
Co(s) | \(\mathrm{CoSO_4(aq)}\) || \(\mathrm{AgNO_3(s)(aq)}\)| Ag(s)
Mikä on parin jännite?

c) Muodosta kokonaisreaktio. Päättele ja perustele, onko kyseessä spontaani reaktio. Minkälaisesta sähkökemiallisesta systeemistä on kyse?

Hapettuminen:

\(\mathrm{2\ Fe(s)\rightarrow 2\ Fe^{2+}(aq)+4\ e^-, E^\circ=0{,}45\ V}\)

Pelkistyminen:

\(\mathrm{O_2(g)+2\ H_2O(l)+4\ e^-\rightarrow 4\ OH^-(aq), E^\circ=0{,}40\ V}\)

d) Päättele seuraavaan reaktioon osallistuvien alkuaineiden hapetusluvut sekä tunnista hapetin ja pelkistin.

\mathrm{2\ NO(g)+5\ H_2(g)\rightarrow 2\ NH_3(g)+2\ H_2O(g)}

Energia

Entalpiamuutokset

  • \(\Delta H<0\ \rightarrow\) eksoterminen reaktio
    • energiaa vapautuu
    • lämpötila kasvaa
  • \(\Delta H>0\ \rightarrow\) endoterminen reaktio
    • energiaa sitoutuu
    • lämpötila laskee

Hessin laki

  • eri reaktioiden entalpian muutokset voidaan laskea osareaktioiden summan avulla: \(\Delta H_3=\Delta H_1+\Delta H_2\)
\mathrm{C(s)}
\mathrm{CO(g)}
\mathrm{CO_2(g)}
+\frac{1}{2}\ \mathrm{O_2(g)}
+\frac{1}{2}\ \mathrm{O_2(g)}
+\ \mathrm{O_2(g)}
\Delta H_1
\Delta H_2
\Delta H_3

Jos tehtävässä ei ole annettu valmiiksi entalpiamuutoksia, voidaan hyödyntää muodostumislämpöjä.

Entalpiamuutos voidaan määrittää myös sidosenergioiden avulla. Sidoksen katkeaminen vaatii energiaa (endoterminen vaihe) ja muodostuminen vapauttaa sitä (eksoterminen vaihe)!

\Delta H_r=\sum\Delta H_\mathrm{tuotteet}-\sum\Delta H_\mathrm{lähtöaineet}

Reaktioentalpia

Entalpiamuutoksen mittaaminen

  • onnistuu kalorimetrillä
  • jos kalorimetrissä on vettä ja reaktion seurauksena lämpötila muuttuu:
\Delta H=c\cdot m\cdot \Delta T

\(c=\) veden ominaislämpökapasiteetti (4,19 \(\mathrm{\frac{kJ}{kg\cdot K}}\))

\(m=\) veden massa

\(\Delta T=\) lämpötilan muutos

ei siis konsentraatio!

8.2/S2022

Eräässä laboratoriokokeessa 24,0 g puhdasta hiiltä C(s) paloi olosuhteissa, joissa happea oli vain rajallinen määrä. Tällöin energiaa vapautui 481,2 kJ. Palamisessa tapahtuivat samanaikaisesti reaktiot (1) ja (2):

Laske tuotteina muodostuneiden hiilimonoksidin ja hiilidioksidin ainemäärät.

4/S2020

Tutkimuksessa määritettiin kokeellisesti metanolin, formaldehydin ja vedyn palamisentalpiat tietyssä lämpötilassa ja saatiin seuraavat tulokset:

4.1 Polttokennoautoissa voidaan käyttää polttoaineena vetyä tai metanolia. Vetyä ja metanolia poltetaan kumpaakin 1,00 kg. Kummassa palamisreaktiossa vapautuu enemmän energiaa?

4.2 Metanolista voidaan valmistaa formaldehydiä, jota käytetään monien yhdisteiden lähtöaineena:

Määritä reaktioentalpia \(\Delta H_r\) annettujen kokeellisten palamisentalpioiden avulla.

Tasapaino

Tyypillisiä virheitä: Kuvaajien piirtäminen

  • Ei mainita, mistä lukuarvot tulevat. \(\rightarrow\) "Arvo luettiin kuvaajalta."

Tyypillisiä virheitä: Tasapainolaskut

  • pH-arvon merkitsevät numerot
    • pH:ssa merkitseviä numeroita desimaalipilkun jälkeiset numerot
  • Laskinohjelmassa liian epätarkka numerotarkkuus
    • välitulosta ei kannata pyöristää, sillä liiallisesta pyöristyksestä voi tulla virheitä lopputulokseen
  • Tasapainovakion lauseketta ei ole merkitty näkyviin ennen sijoitusta
  • Tasapainotaulukossa ei ole huomioitu reaktioyhtälön kertoimia
  • Tasapainovakion lausekkeessa ei ole huomioitu reaktioyhtälön kertoimia eksponenteissa
  • Neutraloitumisreaktiossa tasapainonuoli
    • neutraloituminen ei ole koskaan tasapainoreaktio, vaikka aineet olisivat heikkoja protolyyttejä

Kemian kertaus

By Opetus.tv

Kemian kertaus

  • 914