Polymeerit ja biomolekyylit

Polymeroituminen

Molekyylin reaktiivinen kohta

Mikä on eteenimolekyylin reaktiivinen kohta?

Miten eteenimolekyylit reagoivat keskenään?

  • Kaksoissidoksen piisidos aukeaa
  • Parittomat elektronit löytävät parin toisesta avautuneesta eteenimolekyylistä

\(\rightarrow\) Muodostuu pitkä tyydyttynyt hiilivetyketju

ADDITIOREAKTIO

Eteenin polymeroituminen

Polymeereihin liittyviä käsitteitä

  • Polymeerit koostuvat pitkistä polymeerimolekyyleistä.
  • Polymeerimolekyylit muodostuvat pienemmistä monomeerimolekyyleistä.
  • Polymeerimolekyylin rakenteessa toistuu säännöllisesti yhdestä tai useammasta monomeerimolekyylistä muodostunut yksikkö.
  • Polymeerit muodostuvat polymeroitumisreaktiossa, kun monomeerimolekyylit sitoutuvat toisiinsa.
  • Polymeereiksi luokitellaan yhdisteet, joiden rakenneosat koostuvat yli sadasta monomeerimolekyylistä, mutta niitä voi olla polymeerimolekyylissä jopa satoja tuhansia.

Polyadditio

  • Monomeerissä oltava kaksoissidos
  • Kaksoissidos avautuu ja monomeerit liittyvät yhteen kovalenttisella sidoksella

polystyreeni

styreeni

Polykondensaatio

  • Polyakondensaatioreaktio voi tapahtua, jos monomeerimolekyylissä on kaksi reagoivaa funktionaalista ryhmää, joita ovat hydroksi-, karboksyyli- ja/tai aminoryhmä.
  • Polykondensaatiossa monomeerimolekyylit liittyvät yhteen pitkiksi ketjuiksi ja välistä lohkeaa vesimolekyylejä tai muita pieniä molekyylejä.

Muovit

Muovit

  • koostuvat polymeereistä ja lisäaineista
  • lisäaineita ovat täyteaineet, lujiteaineet ja apuaineet
  • lisäaineilla voidaan muokata muovin ominaisuuksia

Kestomuovit

  • Kestomuovien polymeeriketjut sitoutuvat toisiinsa heikoilla sidoksilla.
  • Kuumennuksessa heikkoja sidoksia katkeaa ja jäähdytyksessä niitä muodostuu uusiin kohtiin.
  • Kestomuoveja voidaan muokata ja kierrättää monia kertoja.
  • Kaikki valtamuovit ovat kestomuoveja.

Kertamuovit

  • Kertamuovit muodostavat keskenään verkkomaisen rakenteen, jossa verkko on muodostunut vahvoilla kovalenttisilla sidoksilla.
  • Sen rakenteessa ei ole ketjuja, jotka voisivat muuttaa paikkojaan toistensa suhteen
  • Kertamuovit kestävät korkeita lämpötiloja.
  • Kuumennettaessa rakenne voi vain hajota.

Biomuovit ja biohajoavat muovit

  • Biohajoavat muovit
    • ovat polymeerejä, jotka hajoavat erilaisten mikrobien vaikutuksesta huomattavasti nopeammin kuin valtamuovit.
    • monet ovat myös kompostoituvia.
  • Biomuovit
    • ovat kasvi- tai eläinpohjaisista uusiutuvista raaka-aineista valmistettuja muoveja, joihin on käytetty vähintään 20 % uusiutuvia raaka-aineita.
    • raaka-aineena voidaan käyttää tärkkelystä, selluloosaa, sokeria tai erilaisia öljyjä.

Muovin ongelmat

  • mikromuovit
  • muovi luonnossa
  • valmistusksen ympäristövaikutukset

Muovin hyödyt

  • Muovin käyttö pakkausmateriaalina vähentää ruokahävikkiä.
  • Muovi on kevyempää kuin metallit ja lasi, joten kuljetuksissa käytettävän polttoaineen määrä vähenee.
  • Muovia käytetään eristeenä, jolloin lämpö- ja energiahukka vähenee.
  • Kierrätettynä muovi on mainettaan parempi materiaali!

Hiilihydraatit

  • Solujen tärkein energianlähde
  • Esiintyy myös solujen rakenteessa
  • Saadaan viljatuotteista, kasviksista ja hedelmistä
  • Syntyy kasveissa yhteyttämisessä:

Hiilihydraatit

-OH

=O

funktionaalinen ryhmä

Hiilihydraatit

Monosakkaridit

Oligosakkaridit

Polysakkaridit

1 sokeri-molekyyli

2-9 sokeri-molekyyliä

yli 10 sokeri-molekyyliä

galaktoosi

fruktoosi

glukoosi

Disakkaridit

2

3-9

raffinoosi

stakyoosi

laktoosi

sakkaroosi

maltoosi

glykogeeni

tärkkelys

selluloosa

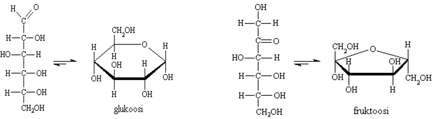
Monosakkaridit

  • Moniarvoisia alkohojeja eli useita OH-ryhmiä.
  • Avoketjumuodossa aldehydi- tai ketoniryhmä
  • Aldooseja tai ketooseja
  • Vesiliuoksessa esiintyy rengasmuodossa

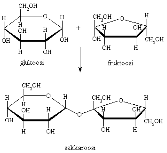
Disakkaridit

  • Kaksi monosakkaridia liittynyt yhteen glykosidisidoksella, -O-
  • Sakkaroosi (tavallinen sokeri)
    • on muodostunut glukoosista ja fruktoosista
    • pilkkoutuu elimistössä ja fruktoosi muuttuu entsyymien avulla glukoosiksi
  • Laktoosi (maitosokeri)
    • muodostunut glukoosista ja galaktoosista
    • pilkkoutuu elimistössä laktaasientsyymin vaikutuksesta

Polysakkaridit

  • Paljon (voi olla jopa tuhansia) monosakkarideja liittynyt yhteen
  • Selluloosa kasvien soluseinien rakentamisessa käytetty molekyyli, ei pilkkoudu ihmiselimistössä.
  • Tärkkelys on kasvien varastomolekyyli.
  • Glykogeeni on eläinten varastomolekyyli.

Rasvat

Rasvat

  • muodostuvat yleensä kolmesta rasvahaposta, jotka liittyvät glyseroliin kondensaatioreaktiossa muodostaen esterin

kolminkertainen esteri eli triglyseridi

  • kuuluvat lipideihin
    • eliöiden soluissa ja kudoksissa syntyviä poolittomia aineita, jotka eivät liukene veteen
    • rasvojen lisäksi vahat, kolesteroli, steroidit, rasvaliukoiset vitamiinit ja fosfolipidit

Rasvat

  • luokitellaan tyydyttyneisiin sekä kerta- ja monityydyttymättömiin rasvoihin

tyydyttynyt eli kova rasva

tyydyttymätön eli pehmeä rasva

  • vain yksinkertaisia sidoksia
  • yksi tai useampia kaksoissidoksia

Saippuoituminen

  • eli saponifikaatio
  • rasvojen hydrolyysireaktio, joka tapahtuu yleensä emäksen kanssa
  • reaktiossa muodostuu suolaa

Saippuan toiminta

  • Saippuan pesevinä ainesosina toimivat rasvahappojen suolojen muodostamat pitkäketjuiset ionit, tensidi-ionit
  • Tensidit koostuvat kahdesta osasta, joista toinen on pooliton hiilivetyketju ja toinen on poolinen osa, joka voi olla myös ioni
  • Misellit muodostuvat tensidi-ioneista, jotka kerääntyvät yhteen ja muodostavat pallomaisia rakenteita. Vesiliuoksissa poolittomat osat kerääntyvät poolittomien aineiden ympärille misellin keskustaan päin.

hydrofobinen pää

hydrofiilinen pää

Proteiinit

Proteiinit

  • säätelevät elintoimintoja, liikkumista, soluliikennettä ja perimän lukemista
  • koostuvat pitkistä useiden kymmenien tai satojen aminohappojen muodostamista polymeerimolekyyleistä
    • aminohapot liittyvät toisiinsa amidiryhmillä, jota sanotaan peptidisidokseksi
    • peptidisidos on kemiallisesti kestävä, joten proteiinit sietävät hyvin erilaisia olosuhteita
  • ihmisen proteiineissa esiintyy 20 erilaista aminohappoa ja niiden järjestys ketjussa määräytyy perimän mukaan \(\rightarrow\) proteiinien primäärirakenne

Polymeerit

By Opetus.tv

Polymeerit

  • 500