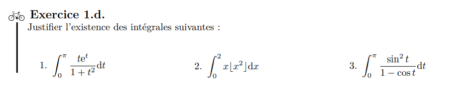
Intégration


Text
utiliser
Continuité uniforme

Rappel
La continuité est une propriéte locale pour une fonction
\(f\) est continue sur un intervalle \(I\)
\(\iff\)
\(\iff\)
\(\iff\)
\(\eta \) dépend de \(x\) et de \(\varepsilon\)
Continuité uniforme

Nouveau
La continuité uniforme est une propriéte globale pour une fonction
\(\iff\)
\(\eta \) ne dépend que de \(\varepsilon\)
Continuité uniforme
Exemple :
la fonction carré est continue sur \(\mathbb{R}\)
mais n'est pas uniformément continue sur \(\mathbb{R}\)
Remarque :
Il existe des fonctions continues sur un intervalle qui ne sont pas uniformement continue sur cet intervalle
Soit \(f:x \mapsto x^2\)
)
Objectif :Montrons que :
\(f\) n'est pas uniformément continue sur \(\mathbb{R}\)
\( \iff \) non (
\( \iff \)
Soit \(\varepsilon=1\).
\(\forall \eta>0\) .
Continuité uniforme

1.Soit I un intervalle de \(\mathbb{R}\).
Soit \(x_0 \in I\).
Soit \(f\) une fonction uniformement continue sur \(I\)
Montrons que \(f\) est continue en \(x_0\)
Soit \(\varepsilon >0 \).
\(f\) étant uniformément continue sur \(I\).
En particulier,
Autrement dit, \(f\) est continue en \(x_0\)
Continuité uniforme

2.Soit I un intervalle de \(\mathbb{R}\).
Soit \(x_0 \in I\).
Soit \(f\) une fonction lipschitzienne sur \(I\)
Montrons que \(f\) est uniformément continue sur \( I\)
Soit \(\varepsilon >0 \).
\(f\) étant lipschitzienne sur \(I\)
Autrement dit, \(f\) est uniformément continue sur \( I\)
Continuité uniforme

Soit I =[a,b] un intervalle fermé borné de \(\mathbb{R}\).
Soit \(f\) une fonction continue sur [a,b]
Montrons que \(f\) est uniformément continue sur [a,b]
Raisonnement par l'absurde
Supposons \(f\) n'est pas uniformément continue sur [a,b]
En particulier :
Continuité uniforme

Avec le théorème de Bolzano -Weierstrass,
on pourra extraire simultanément(*)
deux suites convergentes dans [a,b]
\((x_{\phi(n)})_n\)et \((y_{\phi(n)})_n\)
Continuité uniforme

On fait \(n\) tendre vers \(+\infty \) :
Continuité uniforme

\(f\) étant continue sur \( I \):
On fait \(n\) tendre vers \(+\infty \) :
Contradiction !!!!
Continuité uniforme

Intégrale d'une fonction en escalier
Cas particulier

Intégrale d'une fonction en escalier


Intégrale d'une fonction en escalier
Notation avec les fonctions indicatrices
Exemple connu de fonction en escalier
Intégrale d'une fonction en escalier
Intégrale d'une fonction en escalier


[a,b]=[-5,1]
\(\sigma_f=\{ -5;-4,-1;1\}\)
Intégrale d'une fonction en escalier


[a,b]=[-5,1]
\(\sigma_f=\{ -5;-4;-3;-1;0;1\}\)
Text
Ajout
Intégrale d'une fonction en escalier


[a,b]=[-5,1]
\(\sigma_f=\{ -5;-4,-1;1\}\)
\(\sigma_g=\{ -5;-2;1\}\)
Intégrale d'une fonction en escalier


Intégrale d'une fonction en escalier


Intégrale d'une fonction en escalier

Soit \(\sigma_1=\{x_i\}_{0\leqslant i \leqslant n}\)
Indépendance de la subdivison
Soit \(\sigma_2=\{x'_i\}_{0\leqslant i \leqslant n}\)
Deux subdivisons adaptées de \(f\)
Intégrale d'une fonction en escalier

Il existe \(i_0 \in \llbracket 0,n-1 \rrbracket \) tel que : \( x_{i_0} < y < x_{i_0+1}\)
Soit \( y \in [a,b]\) tel que \( y\notin \sigma_1\)
Soit \(\tilde{\sigma}=\sigma_1\cup \{y\}\)
\(x_0\)
\(x_n\)
\(x_{i_0+1}\)
\(x_{i_0}\)
\(y\)
\(x_{1}\)
Intégrale d'une fonction en escalier
- 1er bilan: \( I_{\sigma_1} \) reste inchangé si on lui ajoute un élément supplémentaire .
De proche en proche, on montre par ajout successif que \( I_{\sigma_1} =I_{\sigma_1 \cup \sigma_2} \)
\(x_0\)
\(x_n\)
\(x_{i_0+1}\)
\(x_{i_0}\)
\(y\)
\(x_{1}\)
- 2ème bilan: De façon analogue , on montre que \( I_{\sigma_2} =I_{\sigma_2 \cup \sigma_1} \)
Conclusion :
on montre que \( I_{\sigma_1} =I_{\sigma_2} \)
Intégrale d'une fonction en escalier

1. On utilise \(\sigma =\sigma_f\cup \sigma_g =\{a_i\}_{0\leqslant i \leqslant n-1}\) une subdivision adaptée à \(f\) et \(g\)
2. On utilise l'inégalité triangulaire discrète :
3. On utilise la relation :
4. On utilise la relation 1.
Intégrale d'une fonction en escalier


- Car c'est une somme de termes positifs
- On applique le 1. à la fonction positive \(x\mapsto g(x)-f(x)\) et on utilise la linéarité de l'intégrale
Fonction continue par morceaux

Fonction continue par morceaux

La fonction
est-elle continue par morceaux ?

Fonction continue par morceaux
Existence de la norme infinie
Si \(f\) est continue par morceaux, il existe une subdivision \( (x_i)_{i\in \llbracket 1;n\rrbracket} \) telle que \(f\) est prolongeable par continuité sur \([x_i;x_{i+1}]\) .\\
Pour justifier l'existence de la norme infinie en appliquant la propriété 2 et le théorème des bornes atteintes de Weierstrass avec :
Fonction continue par morceaux


(détaillé en classe)
Fonction continue par morceaux

Remarque: Lorsque \(f\) est continue par morceaux , on applique le résultat démontré sur chaque segment \([x_i;x_{i+1}]\) puis on prolonge sur [a,b] chaque fonction \(\phi_p\)en escalier
Soit \( (x_i)_{i\in \llbracket 1;p\rrbracket} \) une subdivision de [a;b ]adaptée à \(f\).
On définit :
Eléments de la preuve
Prouvé en classe pour \(f\) continue sur [a,b]

On a montré que : \( \lim\limits_{p} \Vert f-\phi_p\Vert _{\infty}=0\)
Grace au théorème de Heine sur
les segments \( [x_i;x_{i+1}] \).
Fonction continue par morceaux

Prouvé en classe pour \(f\) continue sur [a,b]
Intégrale d’une fonction continue par morceaux

Problématique
Fonction continue par morceaux


On choisit une subdivision régulière de [a;b] \( (x_i)_{i\in \llbracket 1;n\rrbracket} \) ainsi :\( x_{i+1}-x_i=\dfrac{b-a}{n}\)
Etape1 : On considère Les suites de fonctions en escaliers \((\mathcal{s}_n)_n\in\N^*\) et \((\mathcal{S}_n)_n\in\N^*\) définies par:
Où \(M_i\) (resp. \(m_i\))est la borne supérieure (resp. inférieure) de \(f\) sur \([x_i;x_{i+1}]\)
Ces deux suites de On considère Les suites de fonctions en escaliers \((\mathcal{s}_n)_n\in\N^*\) et \((\mathcal{S}_n)_n\in\N^*\) définies par:
On les nomme "sommes de Darboux "

Etape 2 : On démontre la convergence vers \(\ell_f\) de

Pour tout entier naturel \(n\) non nul,
inégalité triangulaire
Théorème des Bornes atteintes

Pour tout entier naturel \(n\) non nul,
(1)
De plus, pour tout
(2)

Pour tout entier naturel \(n\) non nul,
Soit \(\varepsilon >0\).
f est continue par prolongement sur chaque \( [x_i;x_{i+1}] \).
donc f est uniformement continue sur chaque \( [x_i;x_{i+1}] \).
Théorème de
Heine
Hypothèse de convergence uniforme vers f
continuité uniforme
(3)
(4)
(1)
(2)

On choisit \(N_1=\max(N_0,\dfrac{b-a}{\eta})\).
d'après (1),(2), (3) et (4) on a:
Ainsi, pour tout entier naturel \(n \geqslant N_1\) on a :
\(n \geqslant N_0\) et \(n \geqslant \dfrac{b-a}{\eta} \iff \dfrac{b-a}{n}\leqslant \eta \)
Pour tout entier naturel \(n \geqslant N_1\)
Conclusion:
\( \lim\limits_{p} \Vert f-\phi_p\Vert_{\infty}=0\)

On a vue que la limite \(\ell_f\) dépend des sommes de Darboux qui ne dépendent QUE de \(f\)
Fonction continue par morceaux

Fonction continue par morceaux






voir TD
Fonction continue par morceaux

voir TD
Fonction continue par morceaux

Théorèmes de la moyenne

Théorèmes de la moyenne

généralisé en TD
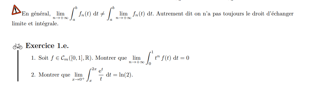
Limite d'intégrales

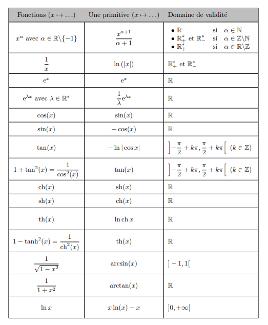
Intégration et dérivation

Intégration et dérivation


Intégration et dérivation


Intégration et dérivation

Théoreme fondamental de l'analyse


Le théorème fondamental de l'analyse montre que :
les fonctions définies par des intégrales de la forme \(x \mapsto \int_a^x f(t) \mathrm{d} t\)
sont dérivables (et même de dérivée continue).

Théoreme fondamental de l'analyse

Théoreme fondamental de l'analyse

Intégration par parties

Changement de variables

Changement de variables

De plus si \(\varphi\) est une bijection de I sur J.
Changement de variables
Exemple:
Parité et périodicité

Approximation par les sommes de Rieman


INTEGRATION_DEMONSTRATIONS
By intermaths.info
INTEGRATION_DEMONSTRATIONS
- 143