


Correction de l’exercice 1.a Fractions sous forme irréductible.
Correction de l’exercice 1.b Calculs et puissances.



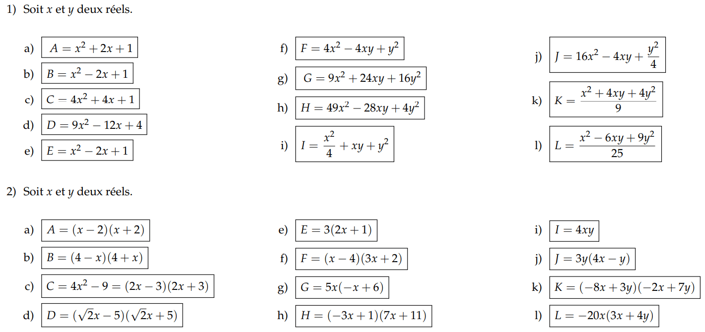
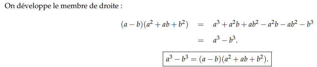
Correction de l’exercice 1.c Autour des identités remarquables.


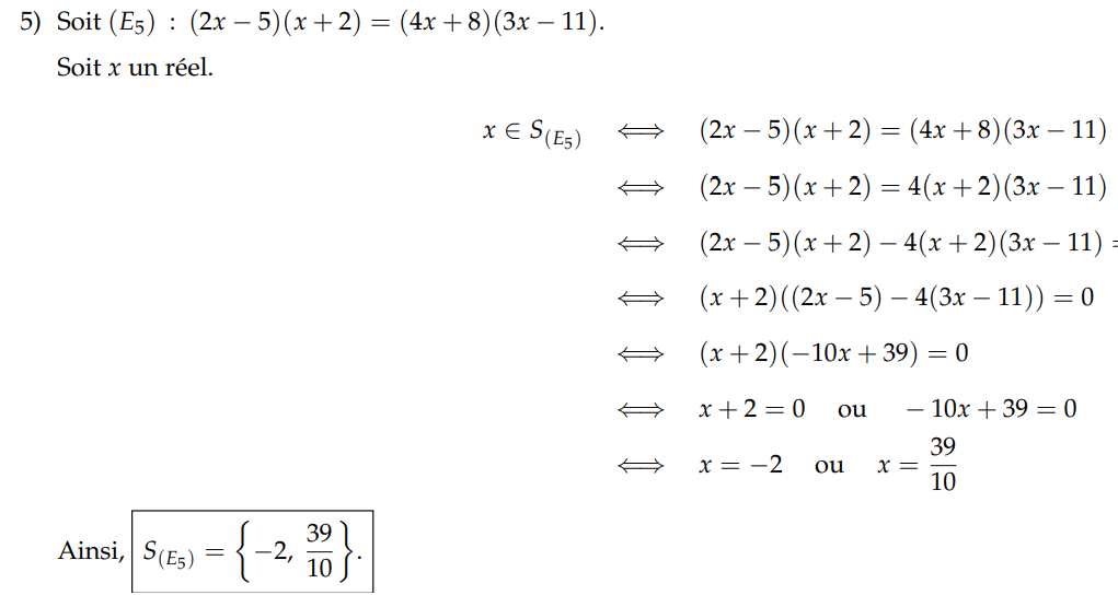
Correction de l’exercice 1.d
Un cas particulier de la formule de Bernoulli.


Correction de l’exercice 1.e Racines carrées



Correction de l’exercice 1.f Inégalités


Correction de l’exercice 1.f Inégalités


Correction de l’exercice 1.f Inégalités



Correction de l’exercice 1.g Equations




Correction de l’exercice 1.g Equations


Correction de l’exercice 1.g Equations


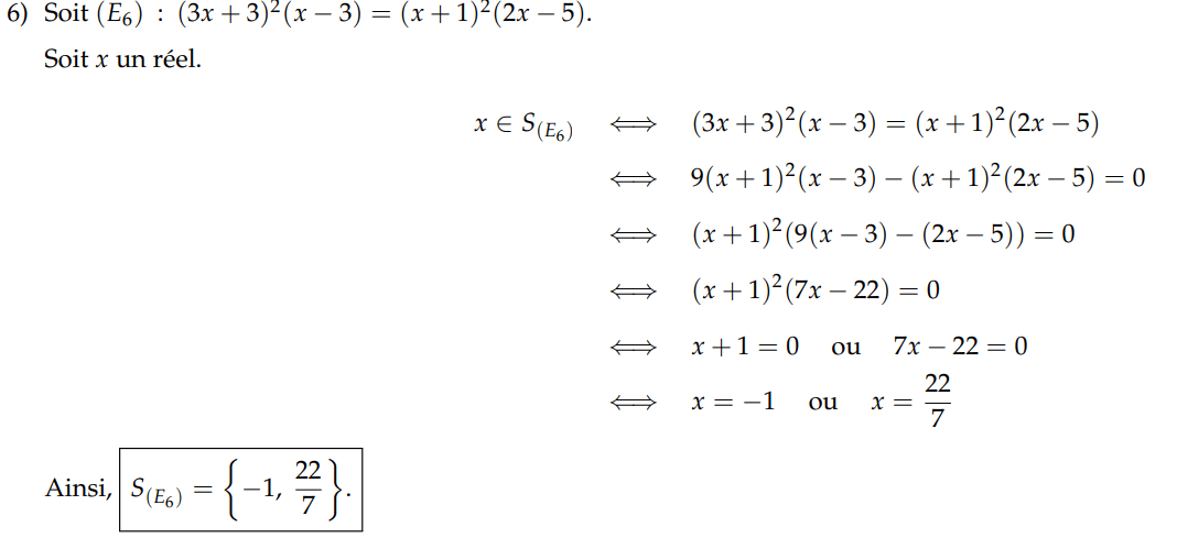
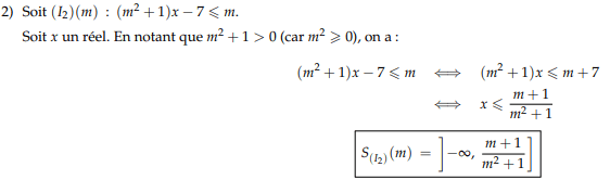
Correction de l’exercice 1.h Equations avec paramètre


Correction de l’exercice 1.h Equations avec paramètre


Correction de l’exercice 1.h Equations avec paramètre



Correction de l’exercice 1.h Equations avec paramètre


Correction de l’exercice 1.h Equations avec paramètre


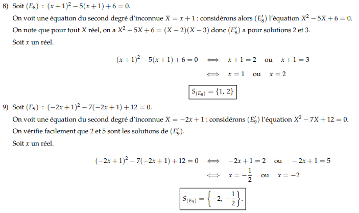
Correction de l’exercice 1.i Equations du second degré


Correction de l’exercice 1.i Equations du second degré


Correction de l’exercice 1.i Equations du second degré


Correction de l’exercice 1.i Equations du second degré


Correction de l’exercice 1.i Equations du second degré


Correction de l’exercice 1.i Equations du second degré


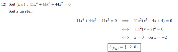
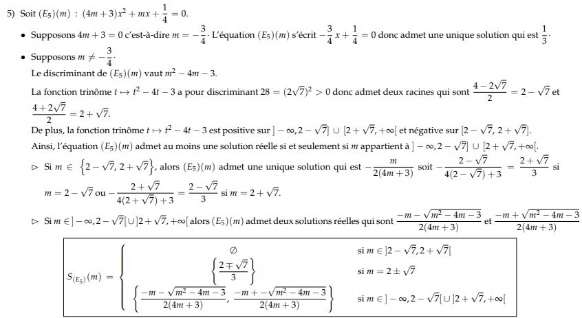
Correction de l’exercice 1.j Equations du second degré avec paramètre


Correction de l’exercice 1.j Equations du second degré avec paramètre



Correction de l’exercice 1.j Equations du second degré avec paramètre


Correction de l’exercice 1.j Equations du second degré avec paramètre


Correction de l’exercice 1.j Equations du second degré avec paramètre


Correction de l’exercice 1.j Equations du second degré avec paramètre


Correction de l’exercice 1.k
Relations entre coefficients et racines d’un trinôme


Correction de l’exercice 1.k
Relations entre coefficients et racines d’un trinôme


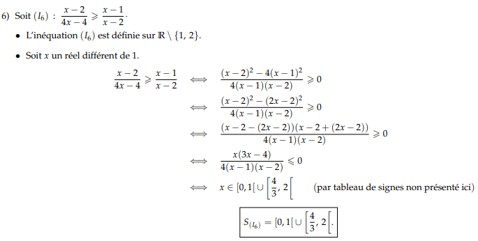
Correction de l’exercice 1.l Inéquations du premier degré


Correction de l’exercice 1.l Inéquations du premier degré


Correction de l’exercice 1.l Inéquations du premier degré


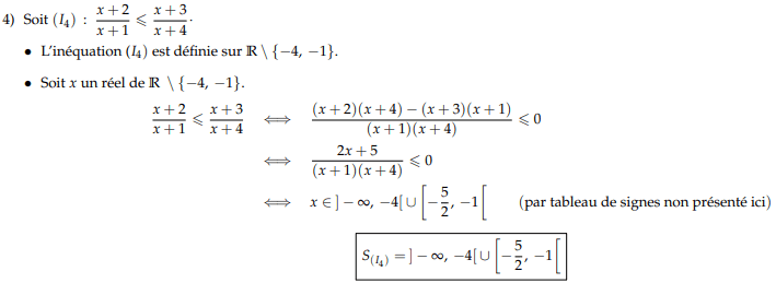
Correction de l’exercice 1.m Inéquations du premier degré


Correction de l’exercice 1.m Inéquations du premier degré


Correction de l’exercice 1.m Inéquations du premier degré



Correction de l’exercice 1.m Inéquations du premier degré


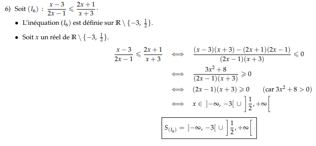
Correction de l’exercice 1.n Inéquations avec paramètre


Correction de l’exercice 1.n Inéquations avec paramètre


Correction de l’exercice 1.n Inéquations avec paramètre



Correction de l’exercice 1.n Inéquations avec paramètre


Correction de l’exercice 1.n Inéquations avec paramètre


Correction de l’exercice 1.o
Expressions en logarithmes et exponentielles.



Correction de l’exercice 1.o
Expressions en logarithmes et exponentielles.


Correction de l’exercice 1.p
Equations en logarithmes et exponentielles.


Correction de l’exercice 1.p
Equations en logarithmes et exponentielles.


Correction de l’exercice 1.p
Equations en logarithmes et exponentielles.



Correction de l’exercice 1.q
Inéquations en logarithmes et exponentielles.


Correction de l’exercice 1.q
Inéquations en logarithmes et exponentielles.


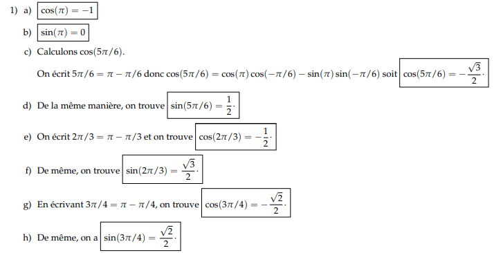
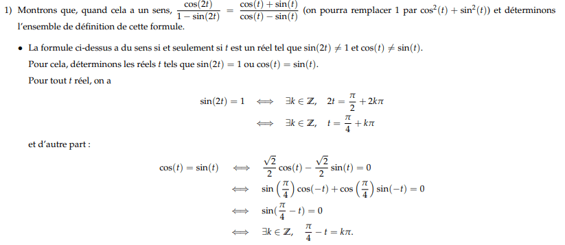
Correction de l’exercice 1.r
Autour du formulaire trigonométrique


Correction de l’exercice 1.r
Autour du formulaire trigonométrique


Correction de l’exercice 1.r
Autour du formulaire trigonométrique



Correction de l’exercice 1.r
Autour du formulaire trigonométrique


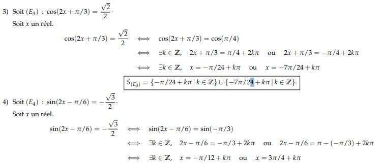
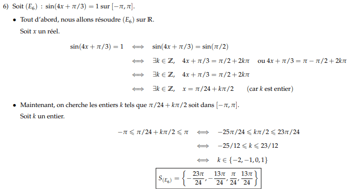
Correction de l’exercice 1.s
Équations trigonométriques


Correction de l’exercice 1.s
Équations trigonométriques



Correction de l’exercice 1.s
Équations trigonométriques


Correction de l’exercice 1.s
Équations trigonométriques


Correction de l’exercice 1.t
Un peu de tout... mais en trigonométrie!



Correction de l’exercice 1.t
Un peu de tout... mais en trigonométrie!


Correction de l’exercice 1.t
Un peu de tout... mais en trigonométrie!



Correction de l’exercice 1.u
Calcul de dérivées.



Correction de l’exercice 1.u Calcul de dérivées.



Correction de l’exercice 1.u Calcul de dérivées.


Correction de l’exercice 1.v Dérivation d’une composée


Correction de l’exercice 1.v Dérivation d’une composée


Correction de l’exercice 1.v Dérivation d’une composée


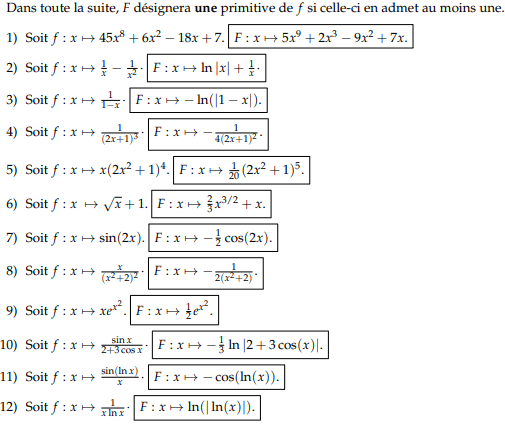
Correction de l’exercice 1.w Primitives


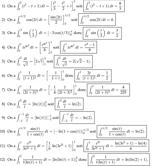
Correction de l’exercice 1.x
Utilisations du théorème fondamental.


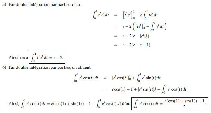
Correction de l’exercice 1.y
Utilisations d’une intégration par parties.


Correction de l’exercice 1.y
Utilisations d’une intégration par parties.


Correction de l’exercice 1.y
Utilisations d’une intégration par parties.


Correction de l’exercice 1.z
Étude d’une suite d’intégrales


Correction de l’exercice 1.z Étude d’une suite d’intégrales

deck
By intermaths.info
deck
- 56