Mittausvirhe
FY11 Kokeellinen fysiikka
Mittausvirhetyypit
-
Systemaattinen virhe: mittalaitteesta tai mittaustilanteesta johtuva poikkeama mittaustuloksen ja suureen todellisen arvon välillä
- Virhe toistuu jokaisessa mittauksessa (samansuuruisena)
- Mittaustulokset voidaan korjata jälkikäteen, jos virheen suuruus on tiedossa
-
Satunnaisvirhe: mittaustuloksen ja todellisen arvon välinen ero
- Ei selkeää syytä
- Usein voi liittyä mittausvälineen tarkkuuteen
- Tulee esiin, kun tehdään useita mittauksia
- Voidaan määrittää mittaustulosten ja keskiarvon välisistä poikkeavuuksista
-
Karkea virhe: epäonnistunut mittaus
- Syy usein mittaajassa (selkeä huolimattomuus!)
Mittaustuloksen ilmoittaminen
- Mittaustulosten tarkkuus ilmoitetaan virheen suuruuden perusteella
- Mittaustulos ilmoitetaan muodossa , missä
- Myös suhteellinen virhe prosentteina kannattaa laskea eli
x = x_m \pm \Delta x
xm on mittaustulos
Δx on arvioitu virhe (vähintään mittalaitteen tarkkuus)
\frac{\Delta x}{x_m}
Vaihteluvälin puolikas
- Toistokokeessa mittaustulos voidaan ilmoittaa mittaustulosten keskiarvona
- Mittausvirheen arvioinnissa voidaan käyttää mittaustulosten vaihteluvälin puolikasta
- Virhearvio pyöristetään ylöspäin
\Delta x = \frac{x_{max} - x_{min}}{2}
x_{max} = \text {mittaustulosten suurin arvo}
x_{min} = \text {mittaustulosten pienin arvo}
Esim. massan mittaus (toistokoe):
m_{max} = 73,3 \ \text {g}
m_{min} = 69,7 \ \text {g}
m_{ka} = 71,2 \ \text {g}
\Delta m = \frac{73,3 \ \text {g} \ - \ 69,7 \ \text {g}}{2} = 1,8 \ \text {g}
m= 71,2 \ \text {g} \pm 1,8 \ \text {g}
Tulos:
Tilastolliset menetelmät
- Toistokokeessa virheen arvioimiseen voidaan myös käyttää tilastollisia tunnuslukuja keskipoikkeamaa ja keskihajontaa
- Keskipoikkeama saadaan
- Määrittämällä jokaisen mittauksen poikkeama keskiarvosta
- Laskemalla poikkeamista keskiarvo
- Keskihajonta voidaan laskea esim. taulukkolaskentaohjelmalla
- Kertoo kuinka kaukana mittaustulokset ovat keskimäärin mittauksen keskiarvosta
-
Taulukkolaskentaohjelman (esim. LibreOffice) komennot:
- Keskiarvo: =keskiarvo() tai =average()
- Keskipoikkeama: =keskipoikkeama() tai =avedev()
- Keskihajonta: =keskihajonta() tai =stdev()
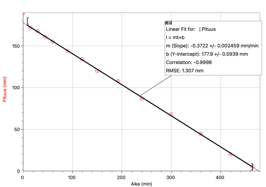
Virhearvio Logger Prossa
- Logger Pro laskee suoran sovituksen yhteydessä kulmakertoimen virheen pienimmän neliösumman menetelmän avulla
- Mittapistejoukkoon sovitettu suora poikkeaa kaikkein vähiten mittauspisteistä
Jos virhe ei automaattisesti näy, tuplaklikkaa infolaatikkoa ja laita rasti oikeaan ruutuun

15 yksikön sääntö
- Mittaustulos ilmoitetaan 15 yksikön sääntöä käyttäen
- Tuloksen merkitsevien numeroiden epätarkkuus on maksimissaan 15 yksikköä
- Virhe pyöristetään yhden numeron tarkkuuteen ja varsinainen tulos ilmoitetaan samalla tarkkuudella
- Poikkeus yhteen merkitsevään numeroon: luvut, joiden kaksi ensimmäistä numeroa jäävät 10 ja 15 väliin kaksi merkitsevää numeroa
- Esim. mittaustulos on 2,92 s ± 0,17 s
- Oikea tuloksen muoto: 2,9 s ± 0,2 s
- Esim. mittaustulos on 2,92 s ± 0,12 s
- Oikea tuloksen muoto: 2,92 s ± 0,12 s
Pohdi virhelähteitä!
- Kokeellisia töitä tehdessä muista nämä:
- Mieti ovatko käyttämäsi välineet parhaimmat mahdolliset kyseisen työn suorittamiseen, vaihda tarvittaessa
- Kirjaa ylös mittausvälineiden mittaustarkkuus
- Yritä eliminoida karkeat virheet, huomioi myös systemaattisen virheen mahdollisuus
- Pohdi merkittävimpiä virhelähteitä ja niiden vaikutusta lopputulokseen
Mittausvirhe
By pauliinak
Mittausvirhe
FY11 Kokeellinen fysiikka
- 227