DM

TD 3ème partie
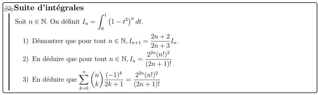
Intégration

1°) Soit \(n\in\N\). On procède par intégration par parties:
Donc
Ainsi,

2°) Stricte positivité de \(I_n\)
\(\forall t\in [0,1], 1-t^2=(1-t)(1+t) \geqslant 0\)
Donc pour tout \(n\in\N\), \(t\mapsto (1-t^2)^n \) est positive sur [0;1]
et par conséquent \(I_n \geqslant 0\)
Si \(I_n=0\) alors \(t\mapsto (1-t^2)^n \) est nulle sur [0;1]
D'après la propriété:
Si \(f\geqslant 0\) sur [a,b] et \(\int_{[a,b]}f=0 \)alors \(f=0\) sur [a,b] )
Ce qui est absurde. On déduit que \(I_n>0\)
Pour \(n=0:\)
On procède par récurrence sur \(\N\) :
\(\underline{Initialisation}\):
\(\underline{Hérédité}\):
\(\underline{Conclusion}\): Pour tout \(n\in\N\), \( I_n= \dfrac{2^{2 n}(n!)^2}{(2 n+1)!}\)

3°) On utilise la formule du binôme de Newton:
- Donc, d'une part,
- D'autre part,
\( I_n= \dfrac{2^{2 n}(n!)^2}{(2 n+1)!}\) (**)
- (*) et (**) permettent de conclure
1°) Si \(f\) est paire
\(\forall x\in \R\),
\( F(x)=\int_0^x f(t) dt \)
Donc, \( F(-x)=\displaystyle\int_0^{-x} f(t) dt \)
On effectue le changement de variable affine suivant :
\(y=-t\) ainsi \(dy=-dt\)
\( F(-x)=\displaystyle\int_0^{x} -f(-y) dy \)
\( F(-x)=\displaystyle\int_0^{x} -f(y) dy =-F(x) \)
F est impaire

erratum : et que F(0)=0
1°) Si \(F\) est impaire
\(\forall x\in \R\),
\( F(-x)=-F(x) \)
Donc, par dérivation :
\( - F'(-x)=-F'(x) \iff -f(-x)=-f(x) \iff f(-x)=f(x) \)
alors \(f\) est paire
La réciproque est vraie

erratum : et que F(0)=0
et \( F(-0)=-F(0) \) qui implique: \(F(0)=0 \)
2°) Si \(f\) est impaire

\(\forall x\in \R\),
\( F(x)=\int_0^x f(t) dt +F(0)\)
Donc, \( F(-x)=\displaystyle\int_0^{-x} f(t) dt +F(0)\)
On effectue le changement de variable affine suivant :
\(y=-t\) ainsi \(dy=-dt\)
\( F(-x)=\displaystyle\int_0^{x} -f(-y) dy +F(0)\)
\( F(-x)=\displaystyle\int_0^{x} f(y) dy +F(0) =F(x) \)
erratum : et que F(0)=0
F est paire
2°) Si \(F\) est paire
\(\forall x\in \R\),
\( F(-x)=F(x) \)
Donc, par dérivation :
\( - F'(-x)=F'(x) \iff -f(-x)=f(x) \iff f(-x)=-f(x) \)
alors \(f\) est impaire
La réciproque est vraie

erratum : et que F(0)=0

1°)
Soit \(f:t\mapsto \dfrac{1}{\sqrt{1+t^2+t^4}} \)

1°)
Soit \(f:t\mapsto \dfrac{1}{\sqrt{1+t^2+t^4}} \)

1°)
3°)
2°)
\(f\) est paire et \(F(0)=0\) donc \(F\) est impaire
\(g\) est impaire
Etude de signe de la dérivée:

4°)
Rappels: (Cours DL)
- Existence de DL :



- Existence de DL d'inverse:
Conditions suffisantes
- Existence de DL d'une primitive :
- Pour tout \(n\in\N\) \(\varphi\) admet un \(DL_n(0) \)
D'après le théorème de Taylor Young
- \(\varphi(0)=1\neq 0\) admet \(\dfrac{1}{\varphi}\) un \(DL_n(0) \)
- \(F\) admet donc un \( DL_{n+1}(0)\) et un \( DL_{0}(0)\) (car F est continue en 0)
INTEGRATION_TD3(DM pentecôte )
By intermaths.info
INTEGRATION_TD3(DM pentecôte )
- 41